Logo Passei Direto
Buscar

avaliacao 3 calculo numerico discursiva 3 trim

Ferramentas de estudo

Questões resolvidas

Modelagem matemática é uma área da matemática que simula problemas reais, a fim de prever o seu comportamento. Pode ser utilizada em muitas áreas do conhecimento, como na física, química, engenharias, entre outros. A modelagem do problema cria um modelo que determina o problema e, em muitos estudos, esse modelo é uma equação diferencial, por exemplo, modelos de transferência de calor e propagação de ondas.
Calcule a solução numérica, usando o método de Euler, da equação diferencial y' + 3y = 2x com y(0) = 2, no intervalo [0, 2] com n = 4. Apresente todos os cálculos para justificar sua resposta.

Material
páginas com resultados encontrados.
páginas com resultados encontrados.
left-side-bubbles-backgroundright-side-bubbles-background

Crie sua conta grátis para liberar esse material. 🤩

Já tem uma conta?

Ao continuar, você aceita os Termos de Uso e Política de Privacidade

left-side-bubbles-backgroundright-side-bubbles-background

Crie sua conta grátis para liberar esse material. 🤩

Já tem uma conta?

Ao continuar, você aceita os Termos de Uso e Política de Privacidade

Questões resolvidas

Modelagem matemática é uma área da matemática que simula problemas reais, a fim de prever o seu comportamento. Pode ser utilizada em muitas áreas do conhecimento, como na física, química, engenharias, entre outros. A modelagem do problema cria um modelo que determina o problema e, em muitos estudos, esse modelo é uma equação diferencial, por exemplo, modelos de transferência de calor e propagação de ondas.
Calcule a solução numérica, usando o método de Euler, da equação diferencial y' + 3y = 2x com y(0) = 2, no intervalo [0, 2] com n = 4. Apresente todos os cálculos para justificar sua resposta.

Prévia do material em texto

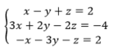
Um método de resolução direto em Análise Numérica é um método que, após finitas operações aritméticas, fornece uma solução exata do problema. Um desses métodos diretos é a Regra de Cramer, usada para resolver sistema lineares e sendo esse método muito eficiente para resolver sistemas lineares possíveis e determinados, ou seja, que tenham apenas uma solução, já que usa determinante para encontrá-la. Usando o Método de Cramer, resolva o sistema linear abaixo, apresentando todos os cálculos para justificar sua resposta.
Resposta esperada
Para encontrar a solução usando o método de Cramer primeiro precisamos calcular os seguintes determinantes
Minha resposta
( RESPOSTA X= 0 Y=-1 Z=1 ) 
Para utilizar a regra de cramer primeiro tem que avaliar o sistema linear para saber se ele e SPD ( possivel e determinado ) , SPI ( possivel e indeterminado ) e Si ( impossivel ) utilizase uma SPD 
X - Y + Z = 2 3X + 2Y - 2Z = -4 -X - 3Y - Z = 2
 Calcular a determinante de A 
1 - 1 + 1 1 -1 
3 + 2 - 2 3 +2
 -1 - 3 - 1 -1 -3 
=-2-2-9-(-2+6+3) 
det A =-20
 det Dx 
2 -1 1 2 -1
 -4 2 -2 -4 2 
2 -3 -1 2 -3 
=-4+4+12-(4+12-4)
 Dx = 0 
detY 
1 2 1 1 2 
3 -4 -2 3 -4 
-1 2 -1 -1 2
 = 4+4+6-(4-4-6)
 detY= 20 
detZ 
1 -1 2 1 -1 
3 2 -4 3 2 
-1 -3 2 -1 -3
 =4-4-18-(-4+12-6)
 detZ=-20 
X = detx / detA X = 0 / -20
 x = 0 Y= detY / detA Y= 20/-20 
Y= -1 Z= detz / det A 
Z= -20/-20 Z= 1
Modelagem matemática é uma área da matemática que simula problemas reais, a fim de prever o seu comportamento. Pode ser utilizada em muitas áreas do conhecimento, como na física, química, engenharias, entre outros. A modelagem do problema cria um modelo que determina o problema e, em muitos estudos, esse modelo é uma equação diferencial, por exemplo, modelos de transferência de calor e propagação de ondas. No entanto, esse modelo pode gerar uma equação diferencial que não tem uma solução analítica viável, por isso, os métodos numéricos são o principal recurso para encontrar solução de EDO's. Calcule a solução numérica, usando o método de Euler, da equação diferencial y' + 3y = 2x com y(0) = 2, no intervalo [0, 2] com n = 4. Apresente todos os cálculos para justificar sua resposta.
Resposta esperada
Usando o método de Euler, precisamos identificar primeiro os seguintes elementos
Minha resposta
Y+3=2x y(0)=2 [0,2] n=4 h=2-0/4 = 0,5 portanto os valores no eixo x terao um incremento de 0,5 ate o valor de 2 
f(x,y) = 2x -3y yo=2 X0= 0 -------- x1= 0,5 ---------- x2 = 1 ----------- x3= 1,5------------ x 4 =2 agora utilizando a formula 
y1=y0+hf(x0,y0)=2+0,5*f(0,2) = 2+0,5 * (2*0-3*2) = 0 
y2 = y1 + hf ( x1 , y1 ) = -1 + 0,5 * f (0,5 * -1 ) = -1 + 0,5 *( 2 * 0,5 - 3 * (-1 ) ) =1 
y3 = y2 + hf (x2 , y2 ) = 1 + 0,5 * f (1 , 1) = 1 + 0,5 * (2*1-3*1) = -0,5 
y4 = y3 + hf ( x3,y3 ) = 0,5 + 0,5 * f (1,5* -0,5 ) = -0,5 + 0,5 * ( 2 * 1,5 - 3 * (0,5 ) ) = 1,75

Mais conteúdos dessa disciplina