Logo Passei Direto
Buscar
Material
páginas com resultados encontrados.
páginas com resultados encontrados.
left-side-bubbles-backgroundright-side-bubbles-background

Crie sua conta grátis para liberar esse material. 🤩

Já tem uma conta?

Ao continuar, você aceita os Termos de Uso e Política de Privacidade

left-side-bubbles-backgroundright-side-bubbles-background

Crie sua conta grátis para liberar esse material. 🤩

Já tem uma conta?

Ao continuar, você aceita os Termos de Uso e Política de Privacidade

Prévia do material em texto

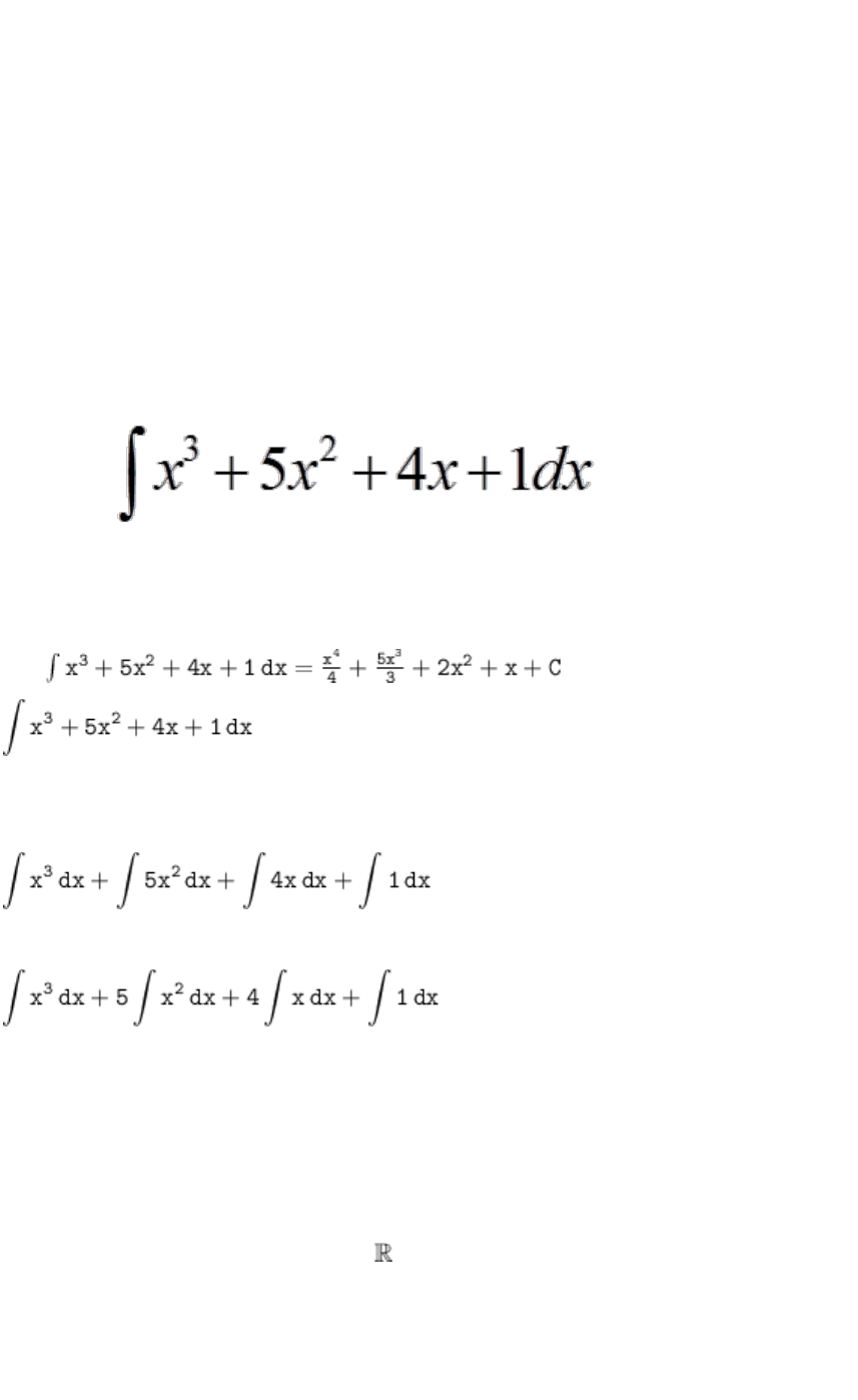
<p>Avaliação Final (Discursiva) - Individual</p><p>Cálculo Diferencial e Integral II</p><p>Aluna: Lorena Amaral Bittencourt</p><p>Com relação ao conceito de integral, existem várias aplicações que</p><p>podemos destacar, principalmente na área das engenharias. A relação</p><p>entre as derivadas e integrais tornou-se uma das ferramentas mais</p><p>poderosas para analisar diversos fenômenos. O primeiro passo para se</p><p>construir o conceito de integral é estudar alguns critérios de cálculo.</p><p>Resolva a integral indefinida a seguir:</p><p>Resposta:</p><p>Resolvendo essa integral indefinida, encontra-</p><p>se:</p><p>Reescrevendo a integral da soma na soma das integrais de cada</p><p>parcela (prop.1):</p><p>As constantes passam multiplicando suas integrais (prop.2):</p><p>Resolvendo a integral separadamente.</p><p>Partindo da ideia que a integral é a operação inversa da derivada.</p><p>Logo, se a integral de uma função f(x) resulta na primitiva F(x), então</p><p>F'(x) é igual a f(x); em outras palavras, a função que está sendo</p><p>integrada provém da derivada de outra função. Ex.: se (x² + c)' = 2x + 0</p><p>= 2x, então ∫2xdx = x² + c, c ∈ ; satisfazendo a definição: se [F(x)]' =</p><p>f(x), então ∫f(x)dx = F(x).</p><p>C é um número real portanto devemos adicioná-lo ao final das</p><p>integrações para incluir o infinito grupo de primitivas.</p><p>Com base nisso, extrai-se que:</p><p>As constantes arbitrárias podem resumir-se a uma só constante ''C''.</p><p>PORTANTO, o valor acima é o resultado da integral desta questão.</p>

Mais conteúdos dessa disciplina