Logo Passei Direto
Buscar

Cálculo Diferencial e Integral

Material
páginas com resultados encontrados.
páginas com resultados encontrados.
left-side-bubbles-backgroundright-side-bubbles-background

Crie sua conta grátis para liberar esse material. 🤩

Já tem uma conta?

Ao continuar, você aceita os Termos de Uso e Política de Privacidade

left-side-bubbles-backgroundright-side-bubbles-background

Crie sua conta grátis para liberar esse material. 🤩

Já tem uma conta?

Ao continuar, você aceita os Termos de Uso e Política de Privacidade

left-side-bubbles-backgroundright-side-bubbles-background

Crie sua conta grátis para liberar esse material. 🤩

Já tem uma conta?

Ao continuar, você aceita os Termos de Uso e Política de Privacidade

left-side-bubbles-backgroundright-side-bubbles-background

Crie sua conta grátis para liberar esse material. 🤩

Já tem uma conta?

Ao continuar, você aceita os Termos de Uso e Política de Privacidade

left-side-bubbles-backgroundright-side-bubbles-background

Crie sua conta grátis para liberar esse material. 🤩

Já tem uma conta?

Ao continuar, você aceita os Termos de Uso e Política de Privacidade

Prévia do material em texto

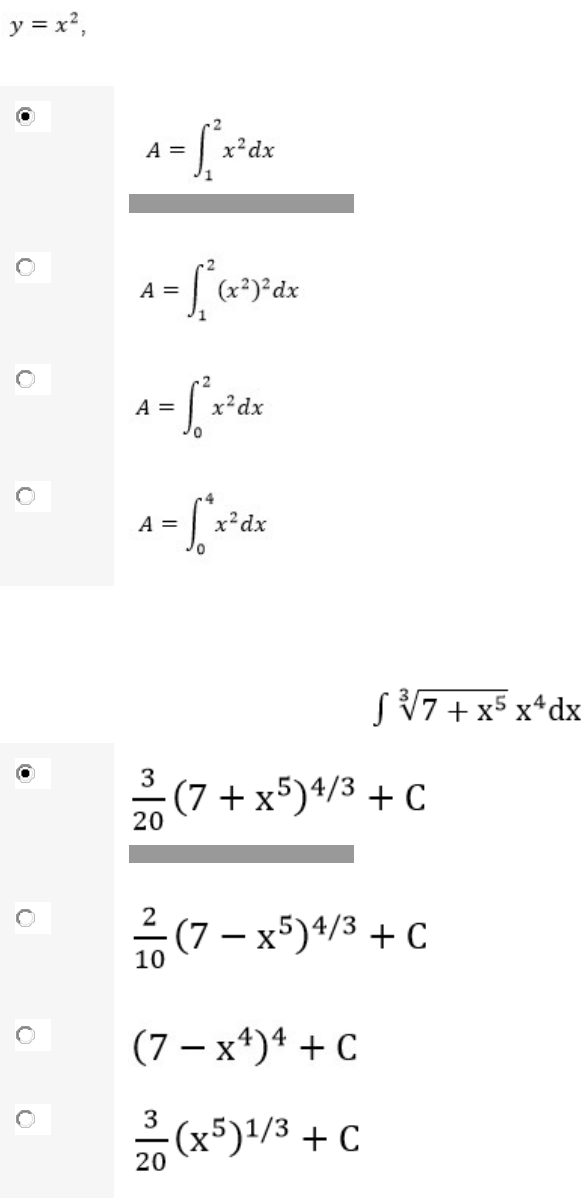
<p>Questão 1/10 - Cálculo Diferencial e Integral a Uma Variável</p><p>Como escrever a integral para calcular a área entre o eixo x, a reta x = 1, a reta x = 2 e a parábola</p><p>usando o eixo x como referência?</p><p>A</p><p>Você assinalou essa alternativa (A)</p><p>B</p><p>C</p><p>D</p><p>Questão 2/10 - Cálculo Diferencial e Integral a Uma Variável</p><p>Calcule a seguinte integral indefinida</p><p>A</p><p>Você assinalou essa alternativa (A)</p><p>B</p><p>C</p><p>D</p><p>Questão 3/10 - Cálculo Diferencial e Integral a Uma Variável</p><p>Calcule a seguinte integral definida</p><p>A</p><p>B</p><p>C</p><p>Você assinalou essa alternativa (C)</p><p>D</p><p>Questão 4/10 - Cálculo Diferencial e Integral a Uma Variável</p><p>Determinar a área entre as curvas</p><p>A</p><p>28/3 u.a.</p><p>B</p><p>64/3 u.a.</p><p>Você assinalou essa alternativa (B)</p><p>C</p><p>58/3 u.a.</p><p>D</p><p>67/3 u.a.</p><p>Questão 5/10 - Cálculo Diferencial e Integral a Uma Variável</p><p>Calcule a seguinte integral indefinida</p><p>A</p><p>B</p><p>C</p><p>D</p><p>Você assinalou essa alternativa (D)</p><p>Questão 6/10 - Cálculo Diferencial e Integral a Uma Variável</p><p>Ache os pontos críticos da função f definida por f(x)=x³+7x²-5x.</p><p>A</p><p>Você assinalou essa alternativa (A)</p><p>B</p><p>C</p><p>D</p><p>Questão 7/10 - Cálculo Diferencial e Integral a Uma Variável</p><p>Calcule a seguinte integral indefinida</p><p>A</p><p>B</p><p>C</p><p>Você assinalou essa alternativa (C)</p><p>D</p><p>Questão 8/10 - Cálculo Diferencial e Integral a Uma Variável</p><p>Calcule a seguinte integral definida</p><p>A</p><p>B</p><p>Você assinalou essa alternativa (B)</p><p>C</p><p>D</p><p>Questão 9/10 - Cálculo Diferencial e Integral a Uma Variável</p><p>Calcule a seguinte integral definida</p><p>A</p><p>Você assinalou essa alternativa (A)</p><p>B</p><p>C</p><p>D</p><p>Questão 10/10 - Cálculo Diferencial e Integral a Uma Variável</p><p>Uma escada de 6m de comprimento está apoiada em uma parede vertical. Se a base da escada começa a deslizar horizontalmente, à razão de 0,5 m/s, com que velocidade o topo da escada percorre a parede, quando está a 5m do solo?</p><p>A</p><p>-0,7856 m/s</p><p>B</p><p>-0,3316 m/s</p><p>Você assinalou essa alternativa (B)</p><p>C</p><p>-0,5472 m/s</p><p>D</p><p>-0,5077 m/s</p><p>image5.png</p><p>image6.png</p><p>image7.png</p><p>image8.png</p><p>image9.png</p><p>image10.png</p><p>image11.png</p><p>image12.png</p><p>image13.png</p><p>image14.png</p><p>image15.png</p><p>image16.png</p><p>image17.png</p><p>image18.png</p><p>image19.png</p><p>image20.png</p><p>image21.png</p><p>image22.png</p><p>image23.png</p><p>image24.png</p><p>image1.png</p><p>image25.png</p><p>image26.png</p><p>image27.png</p><p>image28.png</p><p>image29.png</p><p>image2.wmf</p><p>image30.png</p><p>image31.png</p><p>image32.png</p><p>image33.png</p><p>image34.png</p><p>image35.png</p><p>image36.png</p><p>image37.png</p><p>image38.png</p><p>image39.png</p><p>image40.png</p><p>image3.png</p><p>image41.png</p><p>image42.png</p><p>image4.wmf</p>

Mais conteúdos dessa disciplina