Logo Passei Direto
Buscar

CÁLCULO DIFERENCIAL E INTEGRAL A UMA VARIÁVEL Prática 2 2023

Material
páginas com resultados encontrados.
páginas com resultados encontrados.
left-side-bubbles-backgroundright-side-bubbles-background

Crie sua conta grátis para liberar esse material. 🤩

Já tem uma conta?

Ao continuar, você aceita os Termos de Uso e Política de Privacidade

left-side-bubbles-backgroundright-side-bubbles-background

Crie sua conta grátis para liberar esse material. 🤩

Já tem uma conta?

Ao continuar, você aceita os Termos de Uso e Política de Privacidade

left-side-bubbles-backgroundright-side-bubbles-background

Crie sua conta grátis para liberar esse material. 🤩

Já tem uma conta?

Ao continuar, você aceita os Termos de Uso e Política de Privacidade

left-side-bubbles-backgroundright-side-bubbles-background

Crie sua conta grátis para liberar esse material. 🤩

Já tem uma conta?

Ao continuar, você aceita os Termos de Uso e Política de Privacidade

left-side-bubbles-backgroundright-side-bubbles-background

Crie sua conta grátis para liberar esse material. 🤩

Já tem uma conta?

Ao continuar, você aceita os Termos de Uso e Política de Privacidade

Prévia do material em texto

Questão 1/10 - Cálculo Diferencial e Integral a uma Variável
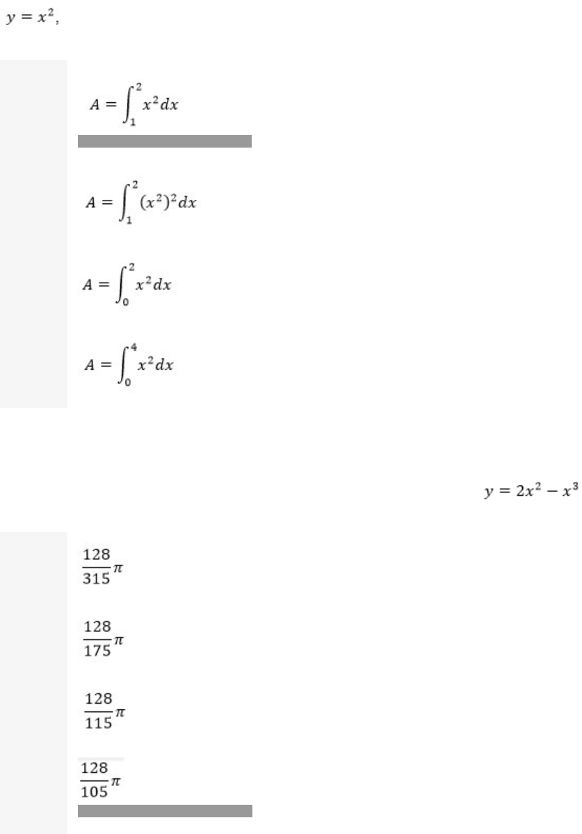
Como escrever a integral para calcular a área entre o eixo x, a reta x = 1, a reta x = 2 e a parábola  
usando o eixo x como referência?
	
	A
	
Você assinalou essa alternativa (A)
	
	B
	
	
	C
	
	
	D
	
Questão 2/10 - Cálculo Diferencial e Integral a uma Variável
Qual o volume gerado quando a área entre o eixo x e o traçado de gira em torno do eixo x?
	
	A
	
	
	B
	
	
	C
	
	
	D
	
Você assinalou essa alternativa (D)
Questão 3/10 - Cálculo Diferencial e Integral a uma Variável
Calcule a seguinte integral definida 
	
	A
	42
	
	B
	45
Você assinalou essa alternativa (B)
	
	C
	35
	
	D
	47
Questão 4/10 - Cálculo Diferencial e Integral a uma Variável
Suponha a confecção de uma caixa de lados regulares com base quadrada de lados x e altura y, sem tampa, com 1 m³ de volume.
Determine as dimensões que exigem o mínimo de material na sua confecção. (Desprezar a espessura do material e as perdas na construção da caixa).
	
	A
	Lados iguais e com dimensão de 0,93m
	
	B
	Lados iguais e com dimensão de 0,83m
	
	C
	Lados iguais e com dimensão de 0,73m
	
	D
	Lados x e y têm dimensões aproximadas, respectivamente, de 1,26m e 0,63m
Você assinalou essa alternativa (D)
Questão 5/10 - Cálculo Diferencial e Integral a uma Variável
Determinar a área limitada pela curva  e pelo eixo x.
	
	A
	
Você assinalou essa alternativa (A)
	
	B
	
	
	C
	
	
	D
	
Questão 6/10 - Cálculo Diferencial e Integral a uma Variável
Calcule a seguinte integral definida
	
	A
	
	
	B
	
Você assinalou essa alternativa (B)
	
	C
	
	
	D
	
Questão 7/10 - Cálculo Diferencial e Integral a uma Variável
Gás está sendo bombeado para um balão esférico à razão de 0,1 m³/min. Ache a taxa de variação do raio quando este é de 0,45 m. Dado: 
	
	A
	0,03931m/min
Você assinalou essa alternativa (A)
	
	B
	0,02931m/min
	
	C
	0,01852m/min 
	
	D
	0,05869m/min 
Questão 8/10 - Cálculo Diferencial e Integral a uma Variável
Calcule a seguinte integral definida 
	
	A
	
	
	B
	
	
	C
	
	
	D
	
Você assinalou essa alternativa (D)
Questão 9/10 - Cálculo Diferencial e Integral a uma Variável
Calcule a seguinte integral indefinida 
Você não pontuou essa questão
	
	A
	
	
	B
	
Você assinalou essa alternativa (B)
	
	C
	
	
	D
	
Questão 10/10 - Cálculo Diferencial e Integral a uma Variável
Calcule a seguinte integral definida 
	
	A
	
Você assinalou essa alternativa (A)
	
	B
	
	
	C
	
	
	D

Mais conteúdos dessa disciplina