Logo Passei Direto
Buscar
Material
páginas com resultados encontrados.
páginas com resultados encontrados.

Prévia do material em texto

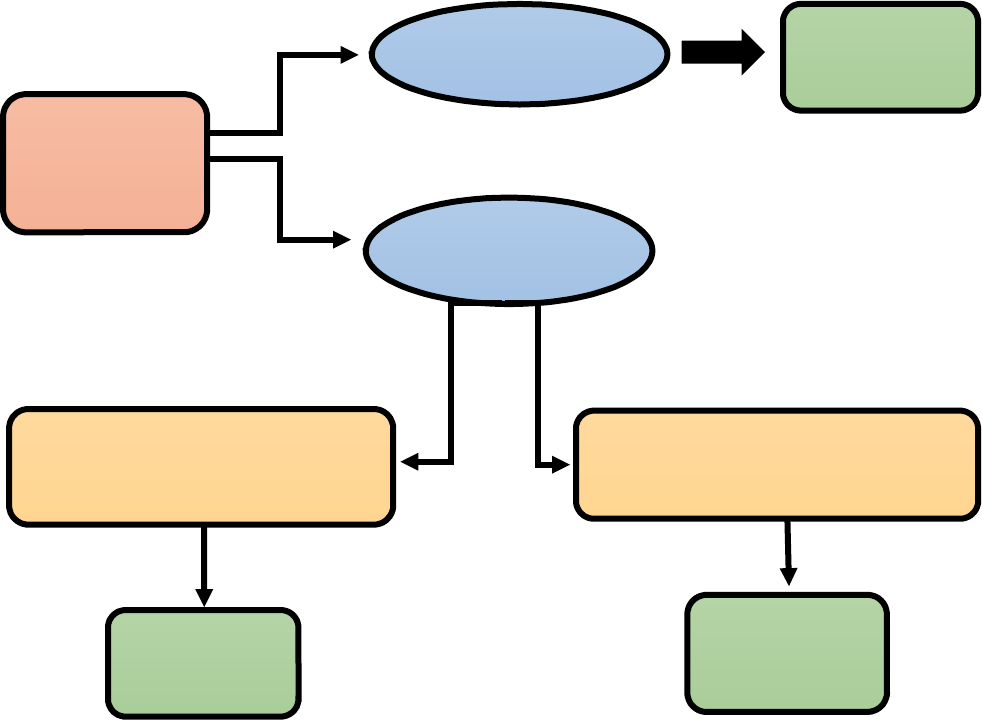
POLARIDADE DA MOLÉCULA
ÁTOMO CENTRAL
Polar 
Possui pares de elétrons livres 
	 ÁTOMO CENTRAL
 Polar 
Apolar 
Nº de Ligações ≠ Nº de átomos iguais 
Nº de ligações = Nº de átomos iguais 
Não possui pares de elétrons livres.

Mais conteúdos dessa disciplina