Prévia do material em texto
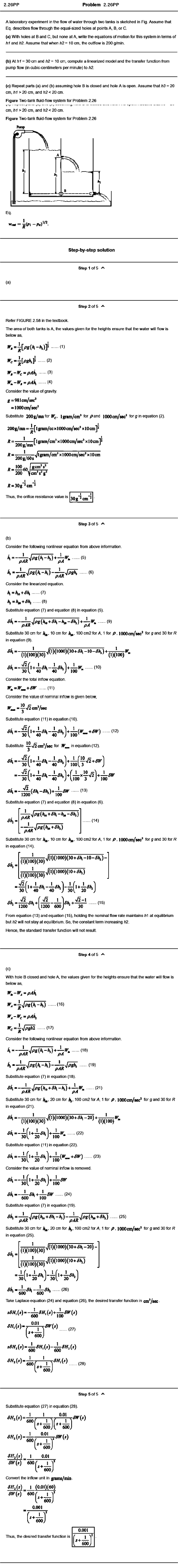
Problem 2.26PP A laboratory experiment in the flow of water through two tanks is sketched in Fig. Assume that Eq. describes flow through the equal-sized holes at points A, B, or C. (a) With holes at B and C. but none at A, write the equations of motion for this system in terms of h1 and h2. Assume that when /?2 = 10 cm, the outflow is 200 g/min. (b) At h1 = 30 cm and h2= ^0 cm, compute a linearized model and the transfer function from pump flow (in cubic-centimeters per minute) to h2. (c) Repeat parts (a) and (b) assuming hole B is closed and hole A is open. Assume that h3 = 20 cm, h i > 20 cm, and h2 20 cm, and h2 J ? s 3 0 g ^c m 2 30g ^cm Step 3 of 5 (b) Consider the following nonlinear equation from above information. (5) (6) Consider the linearized equation. (7) ..........(8 ) Substitute equation (7) and equation (8) in equation (5). 1 /— 7Z— 7:— r— i Substitute 30 cm for 10 cm for Aj,, 100 cm2 for A, 1 for /?, IQOQcip/sfC ̂ for g and 30 for R in equation (9). Sh,= -̂ (1)(I0O0)(30+5*i-1O-5^)h(1)(100)(30)' s k = - 2 ^ f i + - L t f k — L t f t V J - K’ 30i, 40 ’ 40 100 " (1)(100) ( 10) Consider the total inflow equation. W ^ = W ^ + S W ...... (11) Consider the value of nomina! Inflow Is '̂ Iven below 10 = y > ^ c m V s e c Substitute equation (11) in equation (10). 1 - - L a A . l + - L ( » ' + ^ » ') ’ 3 0 l, 40 ’ 40 lo o ' ” ’ .(12) Substitute y -v ^ c m ’ /sec for in equation (12). S k — —