Logo Passei Direto
Buscar
Material
páginas com resultados encontrados.
páginas com resultados encontrados.

Prévia do material em texto

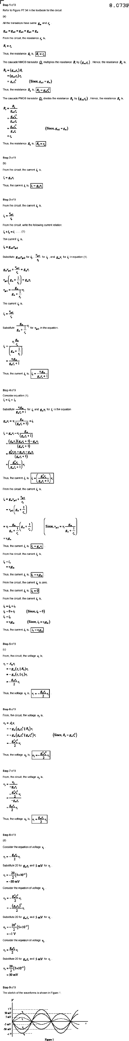
8.073P Thus the resistance NMOS transistor resistance Hence the resistance Thus the resistance PMOS transistor divides the resistance R2 (Since, Thus the resistance (b) write following (1) Substitute for 4 and Thus 4-4+4 Thus From the current Since, Thus From the current 4=4 Thus From the current Thus From the current 4=0+4 4=4 Thus, (c) From voltage Thus Step 6 of 9 voltage Thus Step 7 of 9 From voltage Thus (d) he equation and =-IV Consider the voltage The sketch of the 50 mV

Mais conteúdos dessa disciplina