Logo Passei Direto
Buscar
Material
páginas com resultados encontrados.
páginas com resultados encontrados.
details

Libere esse material sem enrolação!

Craque NetoCraque Neto

Ao continuar, você aceita os Termos de Uso e Política de Privacidade

details

Libere esse material sem enrolação!

Craque NetoCraque Neto

Ao continuar, você aceita os Termos de Uso e Política de Privacidade

details

Libere esse material sem enrolação!

Craque NetoCraque Neto

Ao continuar, você aceita os Termos de Uso e Política de Privacidade

details

Libere esse material sem enrolação!

Craque NetoCraque Neto

Ao continuar, você aceita os Termos de Uso e Política de Privacidade

details

Libere esse material sem enrolação!

Craque NetoCraque Neto

Ao continuar, você aceita os Termos de Uso e Política de Privacidade

details

Libere esse material sem enrolação!

Craque NetoCraque Neto

Ao continuar, você aceita os Termos de Uso e Política de Privacidade

details

Libere esse material sem enrolação!

Craque NetoCraque Neto

Ao continuar, você aceita os Termos de Uso e Política de Privacidade

Prévia do material em texto

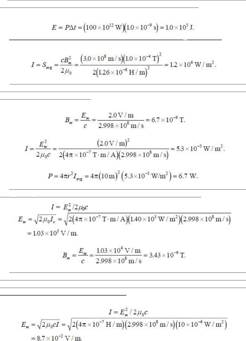
7. Alguns lasers de neodímio-vidro podem produzir 100 TW de potência em pulsos de 1,0 ns com um 
comprimento de onda de 0,26 µm. Qual é a energia contida em um desses pulsos? 
Se P é a potência e Δt é o intervalo de tempo de um pulso, então a energia em um pulso é: 
11. Qual é a intensidade de uma onde eletromagnética plana se o valor de Bm é 1,0 x 10
-4 T? 
A intensidade é a média do vetor de: 
13. O campo elétrico máximo a uma distância de 10 m de uma fonte pontual isotrópica é 2,0 V/m. 
Quais são (a) o valor máximo do campo magnético e (b) a intensidade media da luz a essa distancia da 
fonte? (c) Qual é a potencia da fonte? 
(a) A amplitude do campo magnético da onda é 
(b) a intensidade é 
(c) O poder da fonte é 
15. A luz do Sol, no limite superior da atmosfera terrestre, tem uma intensidade de 1,40 kW/m2. Calcule 
(a) Em e (b) Bm para a luz solar nessa altitude, supondo tratar-se de uma onde plana. 
(a) Usamos para calcular Em: 
(b) A amplitude do campo magnético é, portanto, 
17. Um avião que se encontra a uma distancia de 10 km de um transmissor de radio recebe um sinal 
com uma intensidade de 10 µW/m2. Determine a amplitude (a) do campo elétrico e (b) do campo 
magnético associado ao sinal na posição do avião. (c) Se o transmissor irradia uniformemente ao longo 
de um hemisfério, qual é a potência da transmissão? 
(a) A taxa média de fluxo de energia por unidade de área, ou intensidade, está relacionada à 
energia elétrica amplitude de campo Em por 
(b) A amplitude do campo magnético é dada por 
(c) A uma distância r do transmissor, a intensidade é I = P / 2πr2, onde P é a potenciado 
transmissor sobre o hemisfério com uma área de superfície 2πr2, portanto 
33. Na Fig. 33-42 um feixe luminoso com uma intensidade de 43 W/m2 e a polarização paralela ao 
eixo y, atravessa um sistema composto por dois filtros polarizadores cujas direções fazem ângulos 
θ1 = 70° e θ2 = 90° com o eixo y. Qual é a intensidade da luz transmitida pelo sistema? 
 O ângulo entre a direção da polarização do incidente de luz na primeira folha de 
polarização e a direção de polarização dessa folha é θ1 = 70 °. Se I0 é a intensidade da 
luz incidente, então a intensidade da luz transmitida através da primeira folha é 
A direção da polarização da luz transmitida faz um ângulo de 70° com a vertical e um ângulo 
de θ2 = 20° com a horizontal. θ2 é o ângulo que faz com a direção de polarização da segunda folha de 
polarização. Consequentemente, a intensidade transmitida é 
35. Na Fig. 34-42 um feixe de luz inicialmente não-polarizada atravessa três filtros polarizados cujas 
direções de polarização fazem ângulos de θ1 = 40°, θ2 = 20° e θ3 = 40° com a direção do eixo y. Que 
porcentagem da intensidade inicial da luz é transmitida pelo conjunto? (Sugestão: Preste atenção nos 
ângulos.) 
Seja I0 a intensidade da luz não polarizada incidente na primeira folha de 
polarização. A intensidade transmitida é e a direção da polarização da luz 
transmitida é θ1 = 40° no sentido anti-horário a partir do eixo y no diagrama. A direção 
de polarização da segunda folha é θ2 = 20° no sentido horário a partir do eixo y, portanto, 
o ângulo entre a direção da polarização incidente nessa folha e a direção de polarização 
da folha é 40° + 20° = 60°. A intensidade transmitida é 
e a direção da polarização da luz transmitida é 20° no sentido horário a partir do eixo y. A 
direção de polarização da terceira folha é θ3 = 40° no sentido anti-horário a partir do eixo y. 
Consequentemente, o ângulo entre a direção de polarização da luz incidente nessa folha e a direção de 
polarização da folha é 20° + 40° = 60°. A intensidade transmitida é 
Assim, 3,1% da intensidade inicial da luz é transmitida. 
 
39. Um feixe de luz polarizada passa por um conjunto de dois filtros polarizadores. Em relação a 
direção de polarização da luz incidente as direções de polarização dos filtros são θ para o primeiro 
filtro e 90° para o segundo. Se 10% da intensidade incidente são transmitidos pelo conjunto, quanto 
vale θ? 
À medida que o feixe polarizado de intensidade I0 passa pelo primeiro polarizador, sua 
intensidade é reduzida para I0 cos
2 θ. Depois de passar pelo segundo polarizador que faz um ângulo de 
90° com o primeiro filtro, a intensidade é 
que implica ou. Isso leva a 
θ = 70° ou 20°. 
41. Um feixe de luz parcialmente polarizada pode ser considerado uma mistura de luz polarizada e 
não-polarizada. Suponha que um feixe desse tipo atravesse um filtro polarizador e que o filtro seja 
girado de 360° enquanto se mantem perpendicular ao feixe. Se a intensidade da luz transmitida varia 
por um fator de 5,0 durante a rotação do filtro, que fração da intensidade da luz incidente esta associada 
a luz polarizada do feixe? 
 Seja I0 a intensidade do feixe incidente e f seja a fração que é polarizada. Assim, a intensidade 
da porção polarizada é f I0. Após a transmissão, essa porção contribui com f I0 cos
2 θ para a intensidade 
do feixe transmitido. Aqui θ é o ângulo entre a direção da polarização da radiação e direção da 
polarização do filtro. A intensidade da porção não polarizada do feixe incidente é (1 – f) I0 e, após a 
transmissão, essa porção contribui (1 - f) I0/2 para a intensidade transmitida. Consequentemente, a 
intensidade transmitida é 
À medida que o filtro é girado, cos2 θ varia de um mínimo de 0 a um máximo de 1, então a 
intensidade transmitida varia de um mínimo de 
para um máximo de 
A proporção de Imax para Imin é 
Definindo a razão igual a 5,0 e resolvendo para f, obtemos f = 0,67. 
43. Queremos fazer a direção de polarização de um feixe de luz polarizada girar de 90° fazendo o feixe 
passar por um ou mais filtros polarizadores. (a) Qual é o número mínimo de filtros necessários? (b) 
Qual é o número de mínimo filtros necessários se a intensidade da luz transmitida deve ser mais de 
60% da intensidade original? 
(a) A rotação não pode ser feita com uma única folha. Se uma folha for colocada com sua 
direção de polarização em um ângulo de 90° com a direção de polarização da radiação incidente, 
nenhuma radiação será transmitida. Isso pode ser feito com duas folhas. Colocamos a primeira folha 
com sua direção de polarização em algum ângulo θ, entre 0 e 90°, na direção de polarização da radiação 
incidente. Coloque a segunda folha com sua direção de polarização em 90° na direção de polarização 
da radiação incidente. A radiação transmitida é então polarizada em 90° na direção da polarização 
incidente. A intensidade é 
onde I0 é a radiação incidente. Se θ não for 0 ou 90°, a intensidade transmitida não será zero. 
(b) Considere n folhas, com a direção de polarização da primeira folha fazendo um ângulo de 
θ = 90°/n em relação à direção de polarização da radiação incidente. A direção de polarização de cada 
folha sucessiva é girada 90°/n no mesmo sentido da direção de polarização da folha anterior. A 
radiação transmitida é polarizada, com sua direção de polarização fazendo um ângulo de 90° com a 
direção de polarização da radiação incidente. A intensidade é 
Queremos o menor valor inteiro de n para o qual é maior que 0,60I0. Começamos com n = 2 e 
calculamos cos2n (90° / n). Se o resultado for maior que 0,60, obtivemos a solução. Se for menor, 
aumente n em 1 e tente novamente. Repetimos esse processo, aumentando n por 1 de cada vez, até que 
tenhamos um valor para o qual cos2n (90° / n) seja maior que 0,60. O primeiro será n = 5. 
45. Um raio de luz que se propaga inicialmente no vácuo incide na superfície de uma placa de vidro. 
No vácuo o raio faz um ângulo de 32,0° com a normal a superfície, enquanto no vidro faz um ângulo 
de 21,0° com a normal. Qual é o índice de refração do vidro? 
 A lei da refração afirma 
 Tomamos omeio 1 como vácuo, com n1 = 1 e θ1 = 32,0°. O meio 2 é o vidro, com θ2 = 21,0°. 
Resolvemos para n2: 
47. A Fig. 33-49 mostra um raio luminoso sendo refletido em dois espelhos perpendiculares A e B. 
Determine o ângulo entre o raio incidente i e o raio r´. 
 O ângulo de incidência do raio de luz no espelho B é de 90°- θ. Portanto, o raio 
de saída r' faz um ângulo 90° - (90° - θ) = θ com a direção vertical e é antiparalelo ao 
de entrada. O ângulo entre i e r' é, portanto, 180°. 
49. Quando o tanque retangular de metal da Fig. 33-51 está cheio ate a borda de um liquido 
desconhecido em observador O, com os olhos ao nível do alto do tanque, mal pode ver o vértice E. A 
figura mostra um raio que se refrata na superfície do liquido e toma a direção do observador O. Se D 
= 85,0 cm e L = 1,10 m, qual é o índice de refração do liquido? 
Observe que o normal para a superfície de refração é vertical no diagrama. O 
ângulo de refração é θ2 = 90° e o ângulo de incidência é dado por tan θ1 = L / D, onde 
D é a altura do tanque e L é a sua largura. Portanto 
A lei da refração produz 
onde o índice de refração do ar foi considerado como unidade. 
51. Na Fig. 33-53 uma estaca vertical com 2,00 m de comprimento se projeta do fundo de uma piscina 
ate o ponto 50,0 cm acima da água. O Sol está 55,0° acima do horizonte. Qual é o comprimento da 
sombra da estaca no fundo da piscina? 
 Considere um raio que pasta no topo do poste, como mostra o diagrama a 
seguir. Aqui θ1 = 90° - θ = 35°, l1 = 0,50 m, e l2 = 1,50 m. O comprimento da sombra 
é x + L. x é dado por 
 
De acordo com a lei da refração, n2 sen θ2 = n1 sin θ1. Tomamos n1 = 1 e 
n2 = 1,33 (da Tabela 33-1). Então, 
L é dado por 
O comprimento da sombra é de 0,35 m + 0,72 m = 1,07 m. 
55. Na Fig. 33-57 um raio incide em uma das faces de um prisma triangular de vidro imerso no ar. O 
ângulo de incidência θ é escolhido de tal forma que o raio emergente faz o mesmo ângulo θ com a 
normal a outra face. Mostre que o índice de refração n do vidro é dado por 
Onde φ é o ângulo do vértice superior do prisma e ψ é o ângulo de desvio, definido como o ângulo 
entre o raio emergente e o raio incidente. (Nessas condições, o ângulo de desvio ψ tem o menor valor 
possível, que é denominado ângulo de desvio mínimo.) 
Marcamos o ponto de entrada do raio de luz A, o vértice 
do prisma B e o ponto de saída C do raio de luz. Além disso, o 
ponto na Fig. 33-57 onde ψ é definido (no ponto de interseção 
das extrapolações dos raios incidentes e emergentes) é indicado D. O ângulo indicado 
pelo ADC é o suplemento de ψ, então denotamos que ψs = 180 ° - ψ. O ângulo de refração no vidro é. 
Os ângulos entre o raio interior e as superfícies próximas são o complemento de θ2, 
então o denotamos θ2c = 90° - θ2. Agora, os ângulos do triângulo ABC devem aumentar para 180 °: 
Além disso, os ângulos no triângulo ADC devem aumentar para 180 °: 
o que simplifica para. Combinando isso com nosso resultado anterior, 
encontramos. Assim, a lei da refração produz 
 
57. Uma fonte luminosa pontual está 80, 0 cm abaixo da superfície de uma piscina. Calcule o diâmetro 
do círculo na superfície através do qual a luz emerge da água. 
A referência à Fig. 33-24 pode ajudar na visualização de por que 
parece haver um “círculo de luz” (considere girar essa imagem em 
torno de um eixo vertical). A profundidade e o raio desse círculo (que 
é do ponto a ao ponto f nessa figura) estão relacionados à tangente do 
ângulo de incidência. Assim, o diâmetro D do círculo em questão é 
61. No diagrama de raios da Fig. 33-60, onde os ângulos não estão desenhados em escala, o raio incide 
com o ângulo critico na interface dos materiais 2 e 3. O ângulo φ é 60,0° e dois dos índices de refração 
são n1 = 1,70 e n2 = 1,60. Determine (a) o índice de refração n3 e (b) o valor do ângulo θ. (c) Se o valor 
de θ aumenta, a luz consegue penetrar no meio 3? 
 (a) Na notação deste problema, a Eq. 33-47 torna-se 
que produz n3 = 1,39 para θc = φ = 60°. 
 (b) Aplicando a Eq. 33-44 para a interface entre o material 1 e o material 2, 
temos que produz θ = 28,1 °. 
 (c) Diminuir θ aumentará φ e, portanto, fará com que o raio atinja a interface (entre os materiais 
2 e 3) em um ângulo maior que θc. Portanto, nenhuma transmissão de luz no material 3 pode ocorrer. 
63. A Fig. 33-62 mostra uma fibra ótica simplificada: um núcleo de plástico (n1 = 1,58) envolvido por 
um revestimento de plástico com um índice de refração menor (n2 = 1,53). Um raio luminoso incide 
em uma das extremidades da fibra com um ângulo θ. O raio deve sofrer reflexão interna total no ponto 
A, onde atinge a interface núcleo-revestimento. (Isso é necessário para que não haja perda de luz cada 
vez que o raio incide na interface.) Qual é o maior valor de θ para o qual existe reflexão interna total 
no ponto A? 
 Ao examinar a Fig. 33-62, é importante notar que o ângulo (medido a partir 
do eixo central) para o raio de luz no ar, θ, não é o ângulo para o raio no núcleo de 
vidro, que denominamos θ'. A lei da refração leva a 
 
assumindo nar = 1. O ângulo de incidência do raio de luz que atinge o revestimento é o complemento 
de θ ', que denominamos θ'comp e lembramos que 
No caso crítico, θ'comp deve ser igual a θc especificado pela Eq. 33-47. Assim sendo, 
o que leva ao resultado: Com n1 = 1,58 e n2 = 1, 53, obtemos 
 
65. Na Fig. 33-64 um raio luminoso incide perpendicularmente a face ab de um prisma de vidro (n = 
1,52). Determine o maior valor do ângulo φ para o qual um raio é totalmente refletido na faca ac do 
prisma se este está imerso (a) no ar; (b) na água. 
 (a) Nenhuma refração ocorre na superfície ab, então o ângulo de incidência 
na superfície ac é 90° - φ. Para uma reflexão interna total na segunda superfície, 
ng sin (90 ° - φ) deve ser maior que na. Aqui ng é o índice de refração do vidro e na 
é o índice de refração do vidro ar. Como sen (90 ° - φ) = cos φ, queremos o maior 
valor de φ para o qual ng. Lembre-se de que cos φ diminui à medida que φ aumenta de zero. Quando 
φ tem o maior valor para o qual ocorre a reflexão interna total, então ng cos φ = na, ou 
O índice de refração do ar é considerado uma unidade. 
 (b) Agora substituímos o ar por água. Se nw = 1,33 é o índice de refração da água, então o maior 
valor de φ para o qual ocorre a reflexão interna total é 
75. (a) Prove que um raio de luz que incide em uma janela de vidro emerge do lado oposto com a 
mesmo direção que o raio original e deslocado lateralmente, como na Fig. 33-71. (b) Mostre que, para 
pequenos ângulos de incidência, o deslocamento lateral é dado por 
 
Onde t é a espessura do vidro, θ é o ângulo de incidência do raio em radianos e n é o 
índice de refração do vidro. 
 Seja θ o ângulo de incidência e θ2 o ângulo de refração na face esquerda da 
placa. Seja n o índice de refração do vidro. Então, a lei da refração produz sin θ = n sin θ2. O ângulo 
de incidência na face direita também é θ2. Se θ3 é o ângulo de emergência, então n sin θ2 = sin θ3. 
Assim, sin θ3 = sin θ e θ3 = θ. 
O raio emergente é paralelo ao raio incidente. Desejamos derivar uma 
expressão para x em termos de θ. Se D é o comprimento do raio no vidro, então 
D cos θ2 = t e D = t / cos θ2. O ângulo α no diagrama é igual a θ - θ2 e 
Portanto, 
Se todos os ângulos θ, θ2, θ3 e θ - θ2 são pequenos e medidos em radianos, 
então sen θ ≈ θ, sin θ2 ≈ θ2, sin (θ - θ2) ≈ θ - θ2 e cos θ2 ≈ 1. Assim x ≈ t (θ - θ2). A lei da refração 
aplicada ao ponto de incidência na face esquerda da placa é agora θ ≈ n θ2, então θ2 ≈ θ/n e

Mais conteúdos dessa disciplina