Logo Passei Direto
Buscar
Material
páginas com resultados encontrados.
páginas com resultados encontrados.
left-side-bubbles-backgroundright-side-bubbles-background

Crie sua conta grátis para liberar esse material. 🤩

Já tem uma conta?

Ao continuar, você aceita os Termos de Uso e Política de Privacidade

Prévia do material em texto

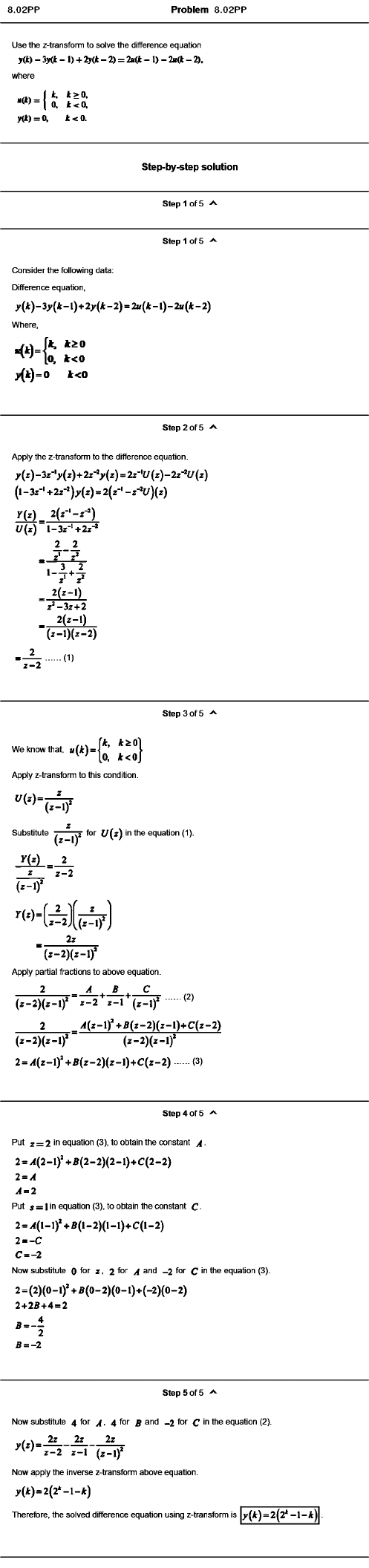
Problem 8.02PP
Use the z-transform to solve the difference equation 
y(t) - 3y(* - 1) + 2y(* - 2) = 2«(* - 1 ) - 2»(* - 2), 
where
K(t) =
* > o . 
0. ib ( * ) - 3 ; - ( t - l ) + 2 y ( * - 2 ) = 2 i ( ( * - l ) - 2 » ( * - 2 )
i t ^ O 
fc (k ) = 0 k (z) = 2(z-' - z - ’l / ) ( r )
y ( z ) 2 ( z - ' - r ^ )
U (z) l-3z-'+2z-*
A 1.
1 - 4 - + 42 2
2 ( ^ - 0
z '-3 z + 2
_ 2 (£ -1 )
2
‘ z - 2
( z - l ) ( z - 2)
...... (1)
Step 3 of 5
We know that. » (
Apply z-transfonn to this condition.
( z - l )
Substitute -------T t / f z ) in the equation (1).
( z - l ) ' >
y ( ^ ) 2
Z z - 2
( z - l ) '
n o “ ( z - 2 ) [ ( . - l ) '
2z
( z - 2) ( z - l ) '
Apply partial fractions to above equation.
A B C
Z + - + - . ----- -T ...... (2)
( z - 2 ) ( z - l ) ' ” z - 2 2 - 1 ( 2 - 1)*
2 .

Mais conteúdos dessa disciplina