Logo Passei Direto
Buscar

Ferramentas de estudo

Material
páginas com resultados encontrados.
páginas com resultados encontrados.
left-side-bubbles-backgroundright-side-bubbles-background

Crie sua conta grátis para liberar esse material. 🤩

Já tem uma conta?

Ao continuar, você aceita os Termos de Uso e Política de Privacidade

Prévia do material em texto

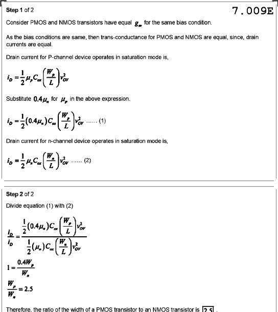
Step 1 of 2 7.009E Consider PMOS and NMOS transistors have equal 8m for the same bias condition. As the bias conditions are same, then trans-conductance for PMOS and NMOS are equal, since, drain currents are equal. Drain current for P-channel device operates in saturation mode is, Substitute for µ, in the above expression. (1) Drain current for n-channel device operates in saturation mode is, (2) Step 2 of 2 Divide equation (1) with (2) 2.5 Therefore, the ratio of the width of a PMOS transistor to an NMOS transistor is 2.5

Mais conteúdos dessa disciplina