Logo Passei Direto
Buscar
Material
páginas com resultados encontrados.
páginas com resultados encontrados.
left-side-bubbles-backgroundright-side-bubbles-background

Crie sua conta grátis para liberar esse material. 🤩

Já tem uma conta?

Ao continuar, você aceita os Termos de Uso e Política de Privacidade

left-side-bubbles-backgroundright-side-bubbles-background

Crie sua conta grátis para liberar esse material. 🤩

Já tem uma conta?

Ao continuar, você aceita os Termos de Uso e Política de Privacidade

left-side-bubbles-backgroundright-side-bubbles-background

Crie sua conta grátis para liberar esse material. 🤩

Já tem uma conta?

Ao continuar, você aceita os Termos de Uso e Política de Privacidade

Prévia do material em texto

➜ QUESTIONÁRIO I – FUNDAMENTOS DE ÁLGEBRA
· A Álgebra Linear é o estudo dos espaços vetoriais e das transformações lineares definidas entre eles. Quando os espaços têm dimensões finitas, as transformações lineares podem ser representadas por:
Resposta Marcada :
Matrizes
PONTUAÇÃO TOTAL: 3PONTUAÇÃO OBTIDA  3
· De acordo com o conteúdo estudado na apostila de Álgebra Linear entende-se que os sistemas lineares é um conjunto de equações lineares, com m equações e n incógnitas, assinale a alternativa que apresenta qual a solução de um sistema linear:
Resposta Marcada :
A solução de um sistema linear é a solução de todas as equações lineares.
PONTUAÇÃO TOTAL: 3PONTUAÇÃO OBTIDA  3
· Segundo o conteúdo estudado na apostila de Álgebra Linear entende-se que uma equação linear é qualquer equação da forma: a1x1 + a2x2 + a3x3 + … + anxn = b onde a1, a2, a3, …, an são números reais e b é um termo independente. No caso se b = 0, como a equação é chamada? Assinale a alternativa correta:
Resposta Marcada :
Linear homogênea.
PONTUAÇÃO TOTAL: 3PONTUAÇÃO OBTIDA  3
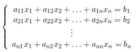
· Assinale a alternativa na qual corresponde a forma abaixo:
 
Resposta Marcada :
Sistema linear.
PONTUAÇÃO TOTAL: 3PONTUAÇÃO OBTIDA  3
· Os sistemas lineares são classificados de acordo com o número de soluções apresentados pelos mesmos. Assinale a alternativa que não é uma classificação dos sistemas lineares:
Resposta Marcada :
SPP – Sistema Possível e Positivo.
PONTUAÇÃO TOTAL: 3PONTUAÇÃO OBTIDA  3
· Conforme estudado na disciplina de Álgebra Linear a matriz incompleta é formada apenas pelos coeficientes do sistema. Assinale a alternativa que representa uma Matriz Incompleta:
 
Resposta Marcada :
ALTERNATIVA ” B”
PONTUAÇÃO TOTAL: 3PONTUAÇÃO OBTIDA  3
· Assinale a alternativa no que se refere uma matriz completa:
Resposta Marcada :
Ela é formada pelos coeficientes do sistema, mais os termos independentes.
PONTUAÇÃO TOTAL: 3PONTUAÇÃO OBTIDA  3
· De acordo com o conteúdo estudado na disciplina de Álgebra Linear como é chamado os números reais quando estes desempenham o seu papel na ação de multiplicar um vetor? Assinale a alternativa correta:
Resposta Marcada :
Escalares
PONTUAÇÃO TOTAL: 3PONTUAÇÃO OBTIDA  3
· A matriz ilustrada abaixo é um exemplo de:
Resposta Marcada :
Matriz quadrada.
PONTUAÇÃO TOTAL: 3PONTUAÇÃO OBTIDA  3
· Muitas vezes nos depararemos com certos subconjuntos de um espaço vetorial que possuem a propriedade de que a soma de dois de seus elementos é um elemento do próprio subconjunto bem como quando multiplicamos um elemento do subconjunto por um escalar, o resultado continua pertencendo ao subconjunto. Seja  um espaço vetorial. Dizemos que  é um?
Resposta Marcada :
Subespaço vetorial.
PONTUAÇÃO TOTAL: 3PONTUAÇÃO OBTIDA  3
Total30 / 30

Mais conteúdos dessa disciplina