Logo Passei Direto
Buscar

Reações e Potencial Eletroquímico

Ferramentas de estudo

Questões resolvidas

A reação de oxirredução, também conhecida como reação redox, é na verdade uma interação entre duas reações concomitantes e dependentes uma da outra, que são a reação de oxidação e a reação de redução. A reação de oxidação é aquela na qual um elemento perde elétrons, adquirindo carga positiva se transformando em um cátion. A reação de redução é aquela na qual um elemento recebe elétrons, adquirindo carga negativa e se transformando em um ânion. Um elemento só oxida por que há outro elemento reduzindo e só reduz porque há outro elemento oxidando.
Portanto, na reação de oxirredução envolvendo a produção de ferrugem abaixo:
A O Ferro reduz e é agente oxidante do Oxigênio.
B O Ferro oxida e é agente redutor do Oxigênio.
C O Ferro reduz e é agente redutor do Oxigênio.
D O Ferro oxida e é agente oxidante do Oxigênio.

O conceito do número de oxidação, de forma abreviada nox, foi desenvolvido para que se possa identificar facilmente a quantidade de elétrons perdidos pelo elemento que oxida ou a quantidade de elétrons recebidos pelo elemento que reduz em uma reação de oxirredução. Pode ser definido como a carga que um elemento adquire em uma reação de oxirredução, podendo ser uma carga real quando o elemento participante da reação for monoatômico, ou hipotética quando este elemento estiver presente em uma molécula de substância ou material.
Assim, Para a molécula de Carbonato de Cálcio, qual será o NOX do Carbono (C)?
A 0
B +2
C +4
D +6

Um dos problemas enfrentados hoje é o aquecimento global provocado pelo excesso de emissão de gases como o CO2. Analisando estequiometricamente, uma vez que a massa molar de 1 mol do gás carbônico (CO2) é de 44g/mol, qual será a massa de 120 mol deste gás?
A 5280 g
B 2,73 g
C 0,37 g
D 164 g

Material
páginas com resultados encontrados.
páginas com resultados encontrados.
details

Libere esse material sem enrolação!

Craque NetoCraque Neto

Ao continuar, você aceita os Termos de Uso e Política de Privacidade

details

Libere esse material sem enrolação!

Craque NetoCraque Neto

Ao continuar, você aceita os Termos de Uso e Política de Privacidade

details

Libere esse material sem enrolação!

Craque NetoCraque Neto

Ao continuar, você aceita os Termos de Uso e Política de Privacidade

details

Libere esse material sem enrolação!

Craque NetoCraque Neto

Ao continuar, você aceita os Termos de Uso e Política de Privacidade

details

Libere esse material sem enrolação!

Craque NetoCraque Neto

Ao continuar, você aceita os Termos de Uso e Política de Privacidade

details

Libere esse material sem enrolação!

Craque NetoCraque Neto

Ao continuar, você aceita os Termos de Uso e Política de Privacidade

Questões resolvidas

A reação de oxirredução, também conhecida como reação redox, é na verdade uma interação entre duas reações concomitantes e dependentes uma da outra, que são a reação de oxidação e a reação de redução. A reação de oxidação é aquela na qual um elemento perde elétrons, adquirindo carga positiva se transformando em um cátion. A reação de redução é aquela na qual um elemento recebe elétrons, adquirindo carga negativa e se transformando em um ânion. Um elemento só oxida por que há outro elemento reduzindo e só reduz porque há outro elemento oxidando.
Portanto, na reação de oxirredução envolvendo a produção de ferrugem abaixo:
A O Ferro reduz e é agente oxidante do Oxigênio.
B O Ferro oxida e é agente redutor do Oxigênio.
C O Ferro reduz e é agente redutor do Oxigênio.
D O Ferro oxida e é agente oxidante do Oxigênio.

O conceito do número de oxidação, de forma abreviada nox, foi desenvolvido para que se possa identificar facilmente a quantidade de elétrons perdidos pelo elemento que oxida ou a quantidade de elétrons recebidos pelo elemento que reduz em uma reação de oxirredução. Pode ser definido como a carga que um elemento adquire em uma reação de oxirredução, podendo ser uma carga real quando o elemento participante da reação for monoatômico, ou hipotética quando este elemento estiver presente em uma molécula de substância ou material.
Assim, Para a molécula de Carbonato de Cálcio, qual será o NOX do Carbono (C)?
A 0
B +2
C +4
D +6

Um dos problemas enfrentados hoje é o aquecimento global provocado pelo excesso de emissão de gases como o CO2. Analisando estequiometricamente, uma vez que a massa molar de 1 mol do gás carbônico (CO2) é de 44g/mol, qual será a massa de 120 mol deste gás?
A 5280 g
B 2,73 g
C 0,37 g
D 164 g

Prévia do material em texto

1. Curso: BACHARELADO EM ENGENHARIA CIVIL - DISTÂNCIA 
Química Geral 
Nota: 100 
Disciplina(s): 
Química Geral 
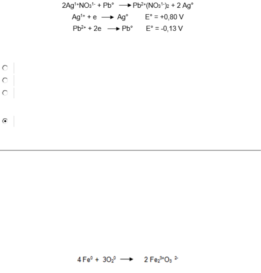
Questão 1/10 - Química Geral 
Determinar o potencial padrão de uma célula eletroquímica contendo Chumbo metálico 
imerso em uma solução de Nitrato de Prata, tendo como dados a reação de oxirredução e 
os potenciais padrão das semi-reações de redução abaixo: 
 
Nota: 10.0 
 A E° = + 0,80 V 
 B E° = - 0,13 V 
 C E° = - 1,06 V 
 D 
E° = + 0,93 V 
Você acertou! 
ALTERNATIVA CORRETA (Conforme Aula 5, Tema 3, Item 3.2) 
 
Questão 2/10 - Química Geral 
A reação de oxirredução, também conhecida como reação redox, é na verdade uma 
interação entre duas reações concomitantes e dependentes uma da outra, que são a reação 
de oxidação e a reação de redução. A reação de oxidação é aquela na qual um elemento 
perde elétrons, adquirindo carga positiva se transformando em um cátion. A reação de 
redução é aquela na qual um elemento recebe elétrons, adquirindo carga negativa e se 
transformando em um ânion. Um elemento só oxida por que há outro elemento reduzindo 
e só reduz porque há outro elemento oxidando. Portanto, na reação de oxirredução 
envolvendo a produção de ferrugem abaixo: 
 
Nota: 10.0 
 A O Ferro reduz e é agente oxidante do Oxigênio. 
 B 
O Ferro oxida e é agente redutor do Oxigênio. 
Você acertou! 
ALTERNATIVA CORRETA (Conforme Aula 5, Tema 1, Item 1.2.1) 
 C O Ferro reduz e é agente redutor do Oxigênio. 
 D O Ferro oxida e é agente oxidante do Oxigênio. 
 
Questão 3/10 - Química Geral 
O conceito do número de oxidação, de forma abreviada nox, foi desenvolvido para que 
se possa identificar facilmente a quantidade de elétrons perdidos pelo elemento que oxida 
ou a quantidade de elétrons recebidos pelo elemento que reduz em uma reação de 
oxirredução. Pode ser definido como a carga que um elemento adquire em uma reação de 
oxirredução, podendo ser uma carga real quando o elemento participante da reação for 
monoatômico, ou hipotética quando este elemento estiver presente em uma molécula de 
substância ou material. Assim, Para a molécula de Ácido Fosfórico, qual será o NOX do 
Fósforo (P)? 
 
Nota: 10.0 
 A -1 
 B +1 
 C -4 
 D 
+5 
Você acertou! 
ALTERNATIVA CORRETA (Conforme Aula 5, Tema 1, Item 1.2.2) 
 
Questão 4/10 - Química Geral 
Resolvendo a equação química da reação do sulfato de prata com Cobre, gerando 
sulfato de cobre mais prata, representada abaixo: 
 
 Pelo método íon-elétron, teremos como reações intermediárias e resultado final: 
Nota: 10.0 
 A 
 
 B 
 
 C 
 
Você acertou! 
ALTERNATIVA CORRETA (Conforme Aula 4, Tema 2, Item 2.2.1.2) 
 D 
 
 
Questão 5/10 - Química Geral 
O conceito do número de oxidação, de forma abreviada nox, foi desenvolvido para que 
se possa identificar facilmente a quantidade de elétrons perdidos pelo elemento que oxida 
ou a quantidade de elétrons recebidos pelo elemento que reduz em uma reação de 
oxirredução. Pode ser definido como a carga que um elemento adquire em uma reação de 
oxirredução, podendo ser uma carga real quando o elemento participante da reação for 
monoatômico, ou hipotética quando este elemento estiver presente em uma molécula de 
substância ou material. Assim, Para a molécula de Sulfito de Sódio, qual será o nox do 
Enxofre (S)? 
 
Nota: 10.0 
 A +1 
 B 
+4 
Você acertou! 
ALTERNATIVA CORRETA (Conforme Aula 5, Tema 1, Item 1.2.2) 
 C -1 
 D -4 
 
Questão 6/10 - Química Geral 
Na reação de oxirredução, na qual o Ferro (Fe) reage com o Oxigênio (O) presente no ar, 
tendo a ferrugem sendo gerada conforme a reação: 
 
Nota: 10.0 
 A 
O Ferro reduziu, tendo perdido três elétrons e virando cátion e o oxigênio 
oxidou, tendo recebido dois elétrons e virando ânion. 
 B 
O Ferro oxidou, tendo perdido três elétrons e virando cátion e o oxigênio 
reduziu, tendo recebido dois elétrons e virando ânion. 
Você acertou! 
ALTERNATIVA CORRETA (Conforme Aula 5, Tema 1, Item 1.2.1) 
 C 
O Ferro oxidou, tendo perdido três elétrons e virando ânion e o oxigênio 
reduziu, tendo recebido dois elétrons e virando cátion. 
 D 
O Ferro reduziu, tendo perdido três elétrons e virando ânion e o oxigênio 
oxidou, tendo recebido dois elétrons e virando cátion. 
 
Questão 7/10 - Química Geral 
Eletroquímica é o estudo da relação entre a eletricidade e a química. Assim, é uma área 
de estudos da química que engloba conceitos de física e de química integrados (físico-
química) no estudo de reações químicas de transferência de elétrons para gerar energia 
elétrica, ou a aplicação da energia elétrica para gerar ou inibir reações químicas de 
transferência de elétrons. Como são chamadas estas reações? 
Nota: 10.0 
 A Reações de adição. 
 B Reações de condensação. 
 C Reações de combustão. 
 D 
Reações de oxirredução. 
Você acertou! 
ALTERNATIVA CORRETA (Conforme Aula 5, Tema 1, Item 1.2.1) 
 
Questão 8/10 - Química Geral 
Coeficientes estequiométricos representam as quantidades de matéria dos reagentes e dos 
produtos gerados, em uma equação química, dada em mol. São obtidos quando são 
determinadas as quantidades de reagentes em uma reação química que resultarão em 
quantidades de produtos. Portanto, fornece uma relação de proporcionalidade entre 
reagentes e produtos para uma reação. Isto posto, na reação representada abaixo, quais 
são os coeficientes estequiométricos? 
 
Nota: 10.0 
 A A, B, C e D 
 B a, b, c, e d 
 C 
N1, N2, N3 e N4 
Você acertou! 
ALTERNATIVA CORRETA (Conforme Aula 4, Tema 1, Item 1.2.1.4) 
 D N1 Aa +N2 Bb 
 
Questão 9/10 - Química Geral 
Um dos problemas enfrentados hoje é o aquecimento global provocado pelo excesso de 
emissão de gases como o CO2. Analisando estequiometricamente, uma vez que a massa 
molar de 1 mol do gás carbônico (CO2) é de 44g/mol, qual será a massa de 120 mol 
deste gás? 
Nota: 10.0 
 A 
5280 g 
Você acertou! 
ALTERNATIVA CORRETA (Conforme Aula 4, Tema 1, Item 1.2.1.1) 
m = M.n = 44 . 120 = 5280 g 
 B 2,73 g 
 C 0,37 g 
 D 164 g 
 
Questão 10/10 - Química Geral 
O conceito do número de oxidação, de forma abreviada nox, foi desenvolvido para que 
se possa identificar facilmente a quantidade de elétrons perdidos pelo elemento que oxida 
ou a quantidade de elétrons recebidos pelo elemento que reduz em uma reação de 
oxirredução. Pode ser definido como a carga que um elemento adquire em uma reação de 
oxirredução, podendo ser uma carga real quando o elemento participante da reação for 
monoatômico, ou hipotética quando este elemento estiver presente em uma molécula de 
substância ou material. Assim, Para a molécula de Carbonato de Cálcio, qual será o NOX 
do Carbono (C)? 
 
Nota: 10.0 
 A 0 
 B +2 
 C 
+4 
Você acertou! 
ALTERNATIVA CORRETA (Conforme Aula 5, Tema 1, Item 1.2.2) 
 D +6

Mais conteúdos dessa disciplina