Logo Passei Direto
Buscar
Material
páginas com resultados encontrados.
páginas com resultados encontrados.
left-side-bubbles-backgroundright-side-bubbles-background

Crie sua conta grátis para liberar esse material. 🤩

Já tem uma conta?

Ao continuar, você aceita os Termos de Uso e Política de Privacidade

Prévia do material em texto

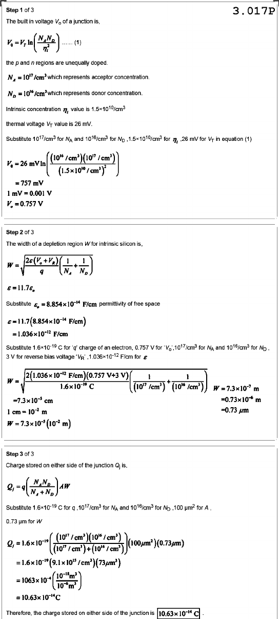
Step 1 of 3 3.017P The built in voltage V₀ of a junction is, (1) the p and n regions are unequally doped. N, = which represents acceptor concentration. = which represents donor concentration. Intrinsic concentration value is thermal voltage VT value is 26 mV. Substitute for NA and for ND for mV for VT in equation (1) = 26 = 757 mV 1 mV = 0.001 V V. = 0.757 V Step 2 of 3 The width of a depletion region W for intrinsic silicon is, Substitute F/cm permittivity of free space E =1.036x10⁻¹² F/cm Substitute C for 'q' charge of an electron, 0.757 V for for NA and for 3 V for reverse bias voltage 'VR' F/cm for E W m m Step 3 of 3 Charge stored on either side of the junction Qj is, Substitute C for q for NA and for ND ,100 µm² for A, 0.73 for W = Therefore, the charge stored on either side of the junction is

Mais conteúdos dessa disciplina