Logo Passei Direto
Buscar

Ferramentas de estudo

Questões resolvidas

Material
páginas com resultados encontrados.
páginas com resultados encontrados.
left-side-bubbles-backgroundright-side-bubbles-background

Crie sua conta grátis para liberar esse material. 🤩

Já tem uma conta?

Ao continuar, você aceita os Termos de Uso e Política de Privacidade

left-side-bubbles-backgroundright-side-bubbles-background

Crie sua conta grátis para liberar esse material. 🤩

Já tem uma conta?

Ao continuar, você aceita os Termos de Uso e Política de Privacidade

left-side-bubbles-backgroundright-side-bubbles-background

Crie sua conta grátis para liberar esse material. 🤩

Já tem uma conta?

Ao continuar, você aceita os Termos de Uso e Política de Privacidade

Questões resolvidas

Prévia do material em texto

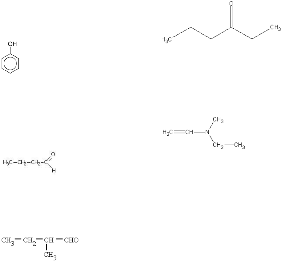
<p>1</p><p>Lista de Exercícios III – Química Orgânica – Funções</p><p>Orgânicas</p><p>1-O fenol (hidroxibenzeno) é corrosivo e irritante das</p><p>membranas mucosas. Potencialmente fatal se</p><p>ingerido, inalado ou absorvido pela pele. Causa</p><p>queimaduras severas e afeta o sistema nervoso</p><p>central, fígado e rins. Que função hidrocarboneto o</p><p>fenol apresenta?</p><p>a) Fenol</p><p>b) Benzeno</p><p>c) Alqueno</p><p>d) Álcool</p><p>2- Qual o nome do composto abaixo?</p><p>a) Ácido Butanóico</p><p>b) Butanal</p><p>c) Butanamida</p><p>d) Butan-oxi-metano</p><p>3- Qual o nome do composto abaixo?</p><p>a) 2 – metil – butanal</p><p>b) 2- etil – propanal</p><p>c) 2 – metil – butano</p><p>d) 3 – etil – metanal</p><p>4- Qual o nome do composto abaixo?</p><p>a) 3 – hexanol</p><p>b) 2- hexanona</p><p>c) Ácido Butanóico</p><p>d) 3 – hexanona</p><p>5- Qual o nome do composto abaixo?</p><p>a) etil-metil-vinilamina</p><p>b) Propano-amina</p><p>c) N,N-etil, metil-propanamida</p><p>d) Et-oxi-etanamina</p><p>6- Qual o nome do composto cuja fórmula molecular é</p><p>CH3-COO-CH3 ?</p><p>a) Metanoato de Metila</p><p>b) Etanoato de Etila</p><p>c) Et-oxi-etano</p><p>d) Etanoato de Metila</p><p>http://pt.wikipedia.org/wiki/Ficheiro:Phenol-2D-skeletal.png</p><p>http://static.infoescola.com/wp-content/uploads/2010/07/butanal.jpg</p><p>2</p><p>7- Dê o nome dos compostos a seguir:</p><p>a)</p><p>b)</p><p>c) HCOO-C6H5</p><p>d)</p><p>e)</p><p>f) CH3CH2-O-CH2CH2CH</p><p>8-. O aspartame, estrutura representada a seguir, é uma</p><p>substância que tem sabor doce ao paladar. Pequenas</p><p>quantidades dessa substância são suficientes</p><p>para causar a doçura aos alimentos preparados, já</p><p>que esta é cerca de duzentas vezes mais doce do</p><p>que a sacarose.</p><p>As funções orgânicas presentes na molécula desse</p><p>adoçante são, apenas:</p><p>(A) éter, amida, amina e cetona.</p><p>(B) éter, amida, amina e ácido carboxílico.</p><p>(C) aldeído, amida, amina e ácido carboxílico.</p><p>(D) éster, amida, amina e cetona.</p><p>(E) éster, amida, amina e ácido carboxílico.</p><p>9 - Associe os nomes comerciais de alguns compostos</p><p>orgânicos e suas fórmulas condensadas na coluna de</p><p>cima com os nomes oficiais na coluna de baixo.</p><p>I. Formol (CH2O)</p><p>II. Acetileno</p><p>III. Vinagre (CH3 – COOH)</p><p>IV. Glicerina (CH2OH – CHOH – CH2OH)</p><p>(P) Propanotriol</p><p>(Q) Ácido etanóico</p><p>(R) Metanal</p><p>(S) Fenil amina</p><p>(T) Etino</p><p>A associação correta entre as duas colunas é</p><p>(A) I-P, II-T, II-Q, IV-R</p><p>(B) I-Q, II-R, II-T, IV-P</p><p>(C) I-Q, II-T, III-P, IV-R</p><p>(D) I-R, II-T, III-Q, IV-P</p><p>(E) I-S, II-R, III-P, IV-Q</p><p>3</p>

Mais conteúdos dessa disciplina