Logo Passei Direto
Buscar

LISTA_DE_EXERCICIOS_DE_GEOMETRIA_ANALITI

Ferramentas de estudo

Questões resolvidas

01) Dados os vetores e , determine o valor da expressão vetorial . RResp: A=51

05) Os módulos dos vetores são, respectivamente, 4 e 2. O ângulo entre eles é 60o. Calcule o ângulo entre . Resp:

08) Demonstre que . Verificar quando ocorre a igualdade.

13) São dados no espaço os pontos A(2,-1,0), B(1,-2,1) e C(1,0,2). Determine o ponto D, tal que sejam LD, e o volume do tetraedro OABD seja igual a 14, onde O é a origem do sistema. Resp: D(0,0,-28) ou D(12,24,8)

Determine a equação do plano que contém o ponto P(2,-1,0) e a reta (r) = 1 2, onde ( 1): 2x-y-z+4=0 e ( 2): x+2y-z+3=0.

Material
páginas com resultados encontrados.
páginas com resultados encontrados.
left-side-bubbles-backgroundright-side-bubbles-background

Crie sua conta grátis para liberar esse material. 🤩

Já tem uma conta?

Ao continuar, você aceita os Termos de Uso e Política de Privacidade

left-side-bubbles-backgroundright-side-bubbles-background

Crie sua conta grátis para liberar esse material. 🤩

Já tem uma conta?

Ao continuar, você aceita os Termos de Uso e Política de Privacidade

left-side-bubbles-backgroundright-side-bubbles-background

Crie sua conta grátis para liberar esse material. 🤩

Já tem uma conta?

Ao continuar, você aceita os Termos de Uso e Política de Privacidade

left-side-bubbles-backgroundright-side-bubbles-background

Crie sua conta grátis para liberar esse material. 🤩

Já tem uma conta?

Ao continuar, você aceita os Termos de Uso e Política de Privacidade

Questões resolvidas

01) Dados os vetores e , determine o valor da expressão vetorial . RResp: A=51

05) Os módulos dos vetores são, respectivamente, 4 e 2. O ângulo entre eles é 60o. Calcule o ângulo entre . Resp:

08) Demonstre que . Verificar quando ocorre a igualdade.

13) São dados no espaço os pontos A(2,-1,0), B(1,-2,1) e C(1,0,2). Determine o ponto D, tal que sejam LD, e o volume do tetraedro OABD seja igual a 14, onde O é a origem do sistema. Resp: D(0,0,-28) ou D(12,24,8)

Determine a equação do plano que contém o ponto P(2,-1,0) e a reta (r) = 1 2, onde ( 1): 2x-y-z+4=0 e ( 2): x+2y-z+3=0.

Prévia do material em texto

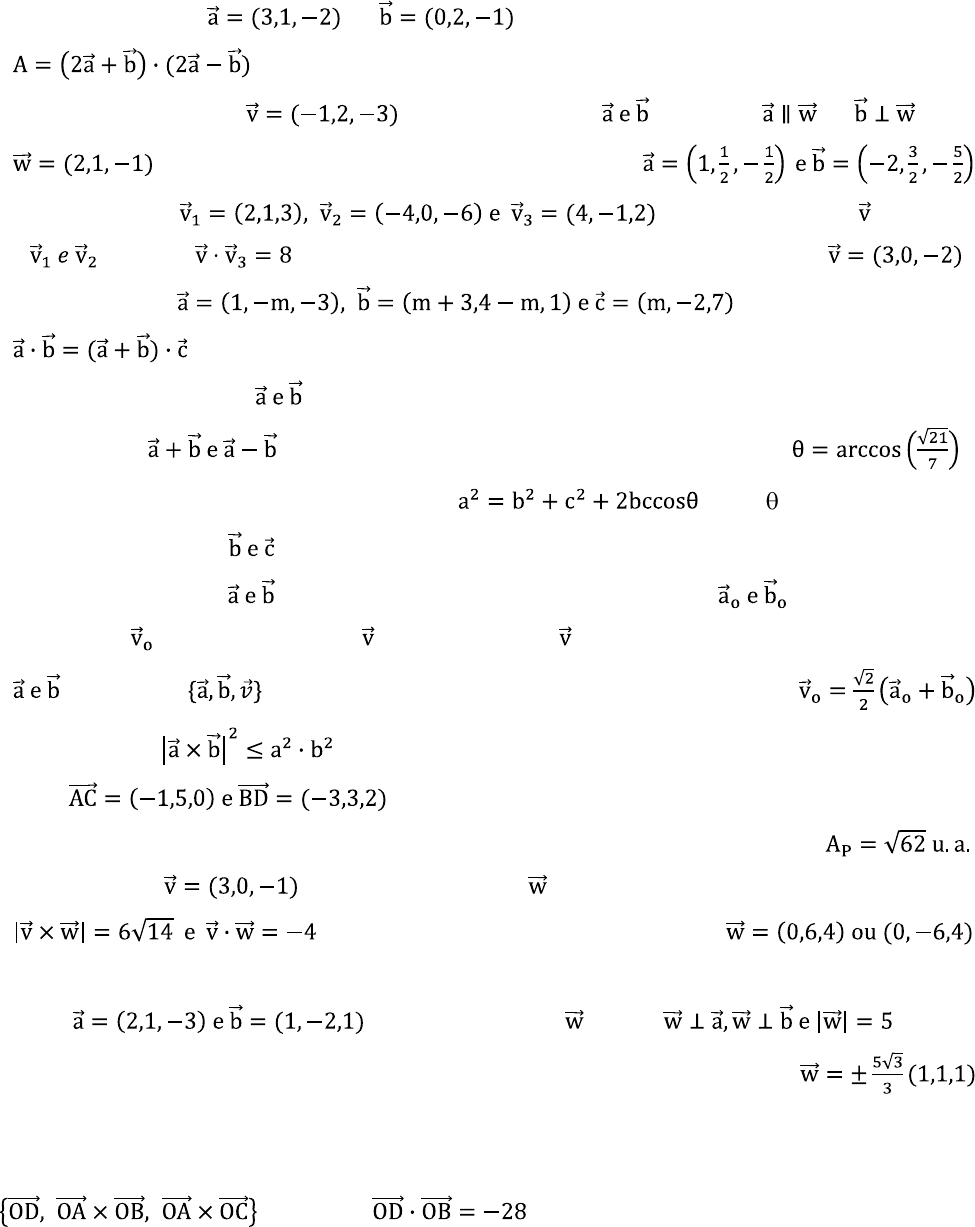
1 
LISTA DE EXERCÍCIOS DE GEOMETRIA ANALÍTICA 
 
01) Dados os vetores e , determine o valor da expressão vetorial 
. RResp: A=51 
02) Decomponha o vetor em dois vetores tais que e , com 
. Resp: 
03) Dados os vetores , determine o vetor ortogonal 
a e tal que . Resp: 
04) Sejam os vetores . Determine m para que 
 . Resp: m=2 
05) Os módulos dos vetores são, respectivamente, 4 e 2. O ângulo entre eles é 60o. Calcule o 
ângulo entre . Resp: 
06) Demonstre vetorialmente a lei dos co-senos: , onde é o ângulo entre as 
direções dos vetores . 
07) São dados os vetores ortogonais entre si, tendo como versores , respectivamente. 
Determine , o versor do vetor , sabendo-se que tem projeções algébricas iguais sobre 
 e ainda que são LD. Resp: 
08) Demonstre que . Verificar quando ocorre a igualdade. 
09) Sejam as diagonais de um paralelogramo ABCD. Calcule a área 
do paralelogramo. Resp: 
10) Dado o vetor , determine o vetor ortogonal ao eixo Ox, sabendo-se que 
. Resp: 
11) Demonstre vetorialmente que a área do losango é igual ao semi-produto das diagonais. 
12) Dados , determine o vetor tal que . 
Resp: 
 
13) São dados no espaço os pontos A(2,-1,0), B(1,-2,1) e C(1,0,2). Determine o ponto D, tal que 
 sejam LD, e o volume do tetraedro OABD seja igual a 
14, onde O é a origem do sistema. Resp: D(0,0,-28) ou D(12,24,8) 
 
 
 2 
14) Calcule a distância do ponto A(3,-1,2) à reta determinada pelos pontos B(1,1,3) e C(5,3,-1). 
RResp: 
15) Determine um vetor unitário ortogonal aos vetores . 
Resp: 
16) Determine a distância do ponto D(2,3,3) ao plano determinado pelos pontos A(3,3,1), 
B(1,1,-3) e C(-1,-3,0). Resp: 
17) Determine o valor de m de modo que o tetraedro determinado pelos vetores , 
 e , tenha volume . Resp: m=1 ou m=5 
18) Dois vértices de um triângulo são os pontos A(4,1,4) e B(5,6,1). Achar o vértice C sabendo que 
ele está sobre o eixo Oy, e a área do triângulo ABC é . Resp: C(0,4,0) ou C(0,6,0) 
19) Achar um vetor paralelo ao vetor que tenha o mesmo módulo do vetor . 
Resp: 
20) Achar um vetor de mesma direção e sentido do vetor e módulo . 
Resp: 
21) Escreva as equações paramétricas da reta (r) que passa pela origem dos eixos coordenados e é 
paralela à reta (s): . Resp: 
22) Escreva as equações simétricas da reta do feixe de centro A(5,-3,2) e paralela ao eixo Oz. 
Resp: 
23) Determine os pontos de furo em relação aos planos coordenados da reta definida pelos 
pontos P(-1,1,3) e Q(4,-2,1). Resp: 
24) Verificar o paralelismo entre as retas (r) e (s) nos seguintes casos: 
a) Resp: a) paralelas 
b) Resp: b) paralelas 
c) Resp: c) não paralelas 
25) Determine as equações simétricas e o comprimento da mediana AM do triângulo ABC com 
A(-3,-1,4), B(2,4,5) e C(0,-2,1). Resp: 
 3 
26) Verifique se os pontos A(3,-2,1) e B(-1,2,0) pertencem à reta (r) determinada pelos pontos 
C(2,1,-1) e D(4,-5,3). Resp: 
27) Verificar se as retas e (s): e , são coplanares e determinar a 
interseção, se houver. Resp: coplanares e 
28) Determine a equação vetorial da reta (r) que passa por P(1,-2,3) e intercepta a reta 
 e cujo vetor diretor da reta (r) é ortogonal ao vetor . 
Resp: (r): X=(1,-2,3)+t(17,9,10) 
29) Determine o ponto O', simétrico da origem O dos eixos coordenados, em relação à reta. 
 . Resp: 
30) Decomponha o vetor em dois vetores e , sendo (r) a reta 
X=(2,-1,5)+t(-1,4,2). Resp: 
31) Determine os co-senos diretores da reta definida pelos pontos A(3,-3,2) e B(4,-1,0). 
Resp: 
32) Determine o ângulo da reta (r): X=(2,0,1)+t(-1,-2,-2) com a reta definida pelos pontos 
A(4,0,-1) e B(-2,-3,1). Resp: 
33) Determine as equações simétricas da reta definida pelos pontos A(2,-1,4) e com 
. Resp: 
34) Um vetor diretor de uma reta (r) é o vetor e tal que e . Sendo 
, determine o ângulo entre a reta (r) e o vetor . 
Resp: 
35) Dados os pontos médios M(2,1,3), N(5,3,-1) e P(3,-4,0) dos lados de um triângulo ABC, 
determine as equações paramétricas do lado deste triângulo, cujo ponto médio é o ponto M. 
Resp: 
36) Determine o ângulo entre as retas, cujos vetores diretores e 
são parcelas do vetor diretor da reta AB, na qual A(2,3,-1) e B(4,-3,5), sabendo-se que 
e . Resp: 
37) Escreva a equação cartesiana do plano determinado pelas retas e 
 . Resp: ( ): 7x-3y-9z+13=0 
 4 
38) Determine na forma simétrica a equação da reta que passa pelo ponto P(2,3,-1) e é paralela aos 
planos ( 1): 2x-3y+z-1=0 e ( 2): x+2y+3z+8=0. RResp: 
39) Ache a equação cartesiana do plano que passa pelo ponto M(3,0,-4) e é perpendicular aos 
planos ( 1): 2x-y-z=0 e ( 2): x+3y-z+12=0. Resp: 4x+y+7z+16=0 
40) Determine na forma simétrica a reta que passa pelo ponto P(3,-2,0) e é perpendicular ao 
plano ( ): 4x-8y+6z-7=0. Resp: 
41) Determine a equação geral do plano que passa pela reta (r): e é paralelo 
à reta . Resp: 3x-2y-2z-1=0 
42) Dê a equação da reta interseção dos planos ( 1): 3x-4y+z-16=0 e ( 2): 2x+4y-2z+4=0. 
Resp: 
43) Determine a equação do plano que passa pelos pontos P(2,1,0) e Q(1,5,8) e é perpendicular ao 
plano ( ): x+2y+2z+5=0. Resp: 4x-5y+3z-3=0 
44) Determine a equação do plano que passa pela reta (r) = 1 2, onde ( 1): 3x+2y+5z+6=0 
e ( 2): x+4y+3z+4=0 e é paralelo à reta (s): X=(1,5,-1)+t(3,2,-3). Resp: 2x+3y+4z+5=0 
45) Mostre que a reta é paralela ao plano ( ): 2x+2y-2z-4=0. 
46) Mostre que a reta está contida no plano ( ): 4x-2y+5z-20=0. 
47) Qual a posição relativa entre os planos ( 1): 5x+3y+13z-1=0 e ( 2): 3x+8y-3z+8=0 e 
determinea interseção, se houver. 
Resp: Perpendiculares e 
48) A interseção das retas (r): X=(3,-1,2)+t(1,3,-2) e (s): X’=(1,-2,5)+t’(-3,-4,5) é um ponto P. 
Determine a distância de P ao plano ( ): x+y+z-2=0. Resp: 
49) Determine a distância do ponto P, interseção dos planos ( 1): 2x+4y-5z-15=0, ( 2): x-
y+2z+3=0 e ( 3): x+y+z-2=0 a reta (r): X=(0,1,-2)+t(3,2,-1). Resp: 
50) Determine a equação da reta que é a interseção dos planos ( 1): 2x-y+4z-1=0 e ( 2): 3x+y-
2z+5=0. Resp: 
51) Determine a equação do plano que contém o ponto P(2,-1,0) e a reta (r) = 1 2, onde 
( 1): 2x-y-z+4=0 e ( 2): x+2y-z+3=0. Resp: x+7y-2z+5=0 
52) O pé da projeção ortogonal da origem dos eixos coordenados sobre um plano ( ) é o ponto 
P(-2,3,6). Determine a equação geral do plano ( ). Resp: 2x-3y-6z+49=0

Mais conteúdos dessa disciplina