Logo Passei Direto
Buscar

Ferramentas de estudo

Material
páginas com resultados encontrados.
páginas com resultados encontrados.

Prévia do material em texto

3a. Lista de Mecânica Estatística 
Prof. Dr. Adilson J A de Oliveira – DF/UFSCar 
2º. Semestre 2023 
 
1-) Mostre que a entropia de um gás ideal quântico pode ser escrita na forma: 
 
 
𝑆 = −𝑘!%&𝑓" ln 𝑓" ± +1 ∓ 𝑓". ln+1 ∓ 𝑓"./
"
 
Na qual o sinal superior (inferior) se refere a férmions (bósons) e; 
𝑓" = 〈𝑛"〉 =
1
𝑒𝑥𝑝6𝛽+𝜀" − 𝜇.: ± 1
 
 
é a distribuição de Fermi-Dirac (Bose-Einstein). Mostre que esse resultado é 
válido também no limite clássico. 
 
2-) Qual é a compressibilidade de um gás de férmions livres a temperatura nula? 
Obtenha um valor numérico para elétrons com a densidade dos elétrons de 
condução do sódio metálico e compare com os valores experimentais para o 
sódio à temperatura ambiente. 
 
3-) Um gás ideal de férmions, com massa m e energia de Fermi ε#, está em 
repouso no zero absoluto. Encontre expressões para os valores esperados 
〈v$〉	e	〈v$%〉, onde v?⃗ é a velocidade de uma partícula. 
 
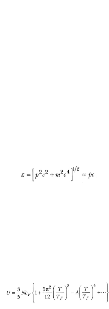
4-) Considere um gás de N elétrons livres, dentro de uma região de volume V, 
num regime ultra-relativístico. O espectro de energia é dado por: 
 
Onde p?⃗ é o momento linear. 
 
(a) Calcule a energia de Fermi desse sistema; 
(b) Qual a energia do sistema no estado fundamental? 
(c) Obtenha uma forma assintótica para o calor específico a volume constante 
no limite T ≪ T#. 
 
5-) A baixas temperaturas, a energia interna de um sistema de elétrons livres 
pode ser escrita na forma: 
 
Obtenha o valor da constante A e indique a ordem de grandeza dos termos que 
estão sendo desprezados. 
 
6-) Considere um sistema de bósons ideais de spin nulo (𝛾 = 1) dentro de um 
volume V. Mostre que a entropia acima da temperatura de condensação T0 é 
dada pela forma: 
𝑆 = 𝑘!
𝑉
𝜆& I
5
2L𝑔' %(
(𝑧) −
𝜇
𝑘!𝑇
𝑔'
%(
(𝑧) 
 
Na qual 𝜆 = )
*%+,-!.
 e 𝑔/(𝑧)∑
0"
1#
2
134 
 
7-) Considere um gás de bósons não interagentes cujo espectro de energia é 
dado por: 
𝜀 = ℏ𝑐S𝑘?⃗ S 
Na qual ℏ é a constante de Planck dividida por 2𝜋 e 𝑐 é a velocidade da luz e 𝑘?⃗ 
é um vetor de onda. Calcule a pressão exercida pelo gás quando o potencial 
químico for nulo. Qual a forma da pressão da radiação de um gás de fótons? 
 
8-) Um sólido dielétrico tem um índice de refração 𝑛5 que é admitido constante 
até frequências do infravermelho. Calcule a contribuição da radiação do corpo 
negro no sólido par a sua capacidade térmica na temperatura de T= 300 K. 
Compare esse resultado com a capacidade térmica clássica da rede 3R por 
mole. 
 
9-) Utilize a aproximação de Debye para encontrar as funções termodinâmicas 
de um sólido como função da temperatura absoluta T. 
(a) ln 𝑍 , 𝑍 ≡ 𝑓𝑢𝑛çã𝑜	𝑝𝑎𝑟𝑡𝑖çã𝑜 
(b) A energia média 𝐸a 
(c) A entropia S 
As respostas devem ser expressas em termos da função: 
𝐷(𝑦) =
3
𝑦&e
𝑥&𝑑𝑥
𝑒6 − 1
7
5
 
e em termos da temperatura de Debye 𝜃8 =
ℏ:$%&
-!
 
10-) Faça um pequeno relato sobre o que você aprendeu na disciplina de 
Mecânica Estatística considerando os pontos positivos e negativos e como a 
visão apresentada contribui para a sua formação.

Mais conteúdos dessa disciplina