Logo Passei Direto
Subir material
Iniciar sesión
Pruébalo gratis
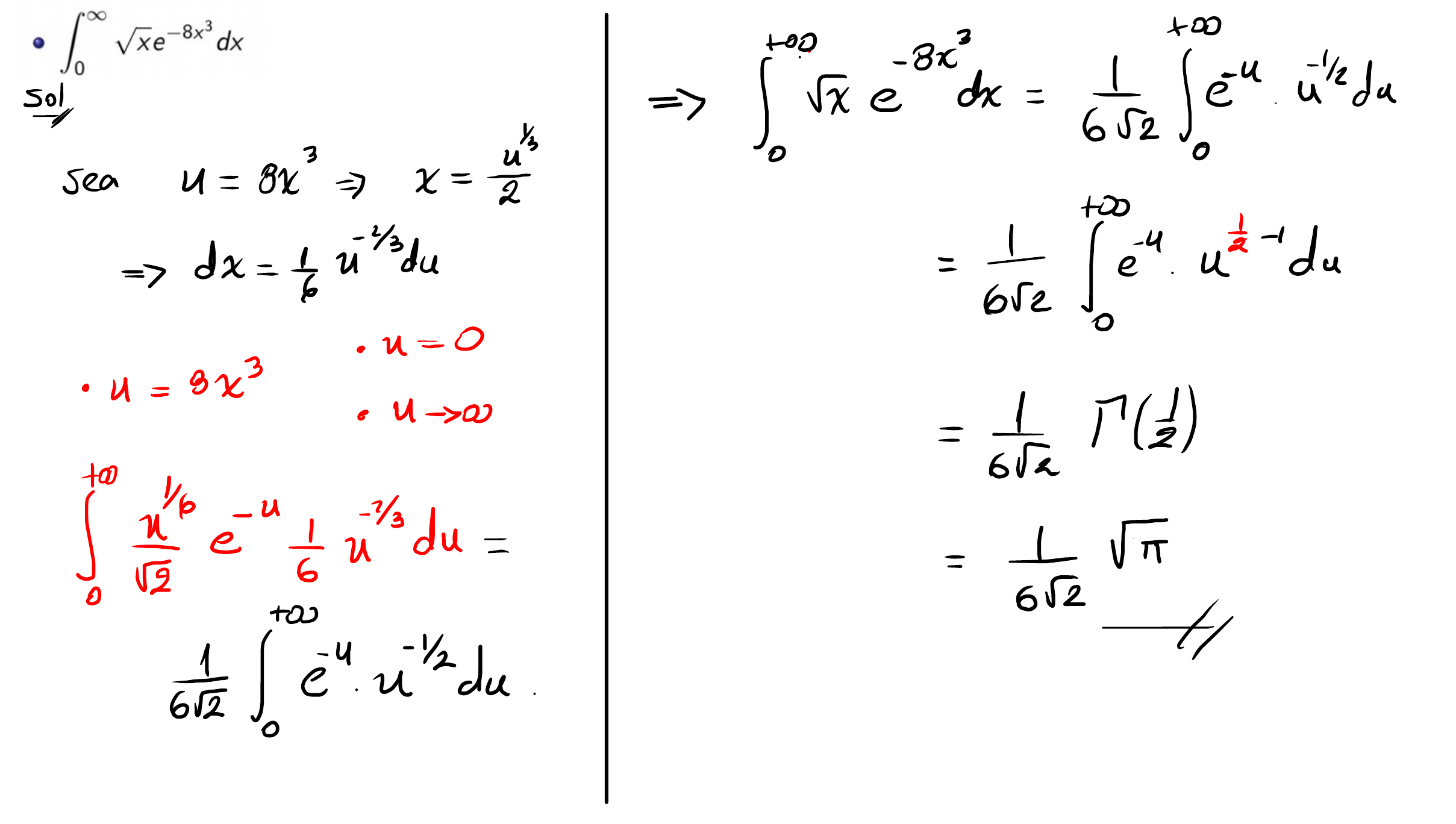
8 4 Problemas de función Gamma y Beta
Cálculo
UNALM
Rosa María Custodio
en
9/4/2025
0
Reportar
Reportar
Clave de respuestas
Ejercicios
Mapa mental
Resumen
Más opciones
Herramientas de estudio
Clave de respuestas
Ejercicios
Mapa mental
Resumen
Mostrar todo
Contenido elegido para ti
3 pag.
Problemas de calculo vectorial-89
Preguntas de este disciplina
Qual é o valor de $\vec{n}_\gamma$ para que os planos $\gamma$ e $\beta$ sejam perpendiculares, sendo $\beta: 2x - y + 3z + 10 = 0$ e $\vec{n}_\gamma
UNIFACVESTEAD
GEOMETRIA ANALÍTICA E ALGEBRA LINEAR (647) Determine os ángulos diretores do vetor v (1, -1, 0) Assinale a ALTERNATIVA CORRETA A a = 90 deg beta...
CSV
Uma regressão linear \(Y=\alpha+\beta X+\gamma Z+\mu\), onde \(Y\) é a variável dependente, \(X\) e \(Z\) são as variáveis independentes, \(\alpha,...
Considere a figura abaixo, sabendo que sua equação característica é: lambda ^ 2 - (a + gamma) * lambda + (a*gamma - m_{1}/m_{2} * beta ^ 2) = 0 ka ...
ESTÁCIO
Material
¡Estudia con miles de materiales!
Iniciar sesión
Contenido elegido para ti
3 pag.
Problemas de calculo vectorial-89
Preguntas de este disciplina
Qual é o valor de $\vec{n}_\gamma$ para que os planos $\gamma$ e $\beta$ sejam perpendiculares, sendo $\beta: 2x - y + 3z + 10 = 0$ e $\vec{n}_\gamma
UNIFACVESTEAD
GEOMETRIA ANALÍTICA E ALGEBRA LINEAR (647) Determine os ángulos diretores do vetor v (1, -1, 0) Assinale a ALTERNATIVA CORRETA A a = 90 deg beta...
CSV
Uma regressão linear \(Y=\alpha+\beta X+\gamma Z+\mu\), onde \(Y\) é a variável dependente, \(X\) e \(Z\) são as variáveis independentes, \(\alpha,...
Considere a figura abaixo, sabendo que sua equação característica é: lambda ^ 2 - (a + gamma) * lambda + (a*gamma - m_{1}/m_{2} * beta ^ 2) = 0 ka ...
ESTÁCIO
Más contenidos de este tema
Lliulli Calculo I
EJERCICIOS DE APLICACIÓN de triangulos
matematicas 19
Escritura académica en historia de las matemáticas