Logo Passei Direto
Buscar
Material
páginas com resultados encontrados.
páginas com resultados encontrados.
left-side-bubbles-backgroundright-side-bubbles-background

Crie sua conta grátis para liberar esse material. 🤩

Já tem uma conta?

Ao continuar, você aceita os Termos de Uso e Política de Privacidade

left-side-bubbles-backgroundright-side-bubbles-background

Crie sua conta grátis para liberar esse material. 🤩

Já tem uma conta?

Ao continuar, você aceita os Termos de Uso e Política de Privacidade

Prévia do material em texto

Atividade - Unidade 6 - Pesquisa em RH
Para iniciar esta primeira etapa, observe o enunciado abaixo:
“Os gestores de uma grande organização de Lajeado, com aproximadamente 3000 funcionários, que abate frangos destinados ao mercado nacional e à exportação, estão iniciando a elaboração do planejamento estratégico para os próximos anos. Do total de funcionários, 2000 trabalham durante o dia e 1000 trabalham no turno da noite. Além disso, do total de funcionários, 55% são do sexo feminino, 65% possuem idade de até 30 anos, 25% entre 31 e 40 anos e 10% possuem 41 anos ou mais. Como o responsável pela área de Recursos Humanos participa das reuniões de planejamento estratégico, precisa realizar um estudo para verificar como está o clima organizacional, de modo a planejar ações de melhoria no ambiente da empresa.”
Do total de funcionários da empresa (3000), pedimos que você calcule a amostra corresponde aos parâmetros e faça a distribuição de acordo com os setores da empresa. 
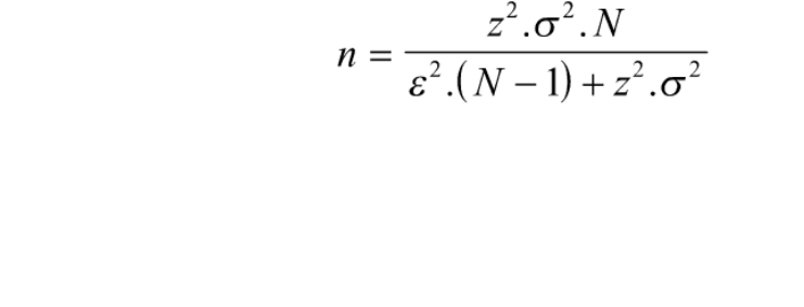
1ª etapa: Depois de ler com atenção, pedimos que você utilize a fórmula abaixo e encontre o valor da amostra probabilística (n). Para tanto você pode ir copiando a fórmula no lugar da resposta e substituir os termos, mostrando como resolveu a fórmula ou, caso prefira, você pode resolver em uma folha de caderno, por exemplo, lembrando de tirar uma foto e colar no espaço reservado para a resposta, a fim de mostrar o desenvolvimento de seu cálculo e a resposta a que chegou. Para achar a amostra probabilística utilize a seguinte fórmula:
Para calcular usando a fórmula acima, considere os seguintes dados:
N = 3.000
Grau de Confiança = 95%, ou seja, z = 1,96
 = 30
= 3
Resposta:
2ª etapa: Depois de calcular a amostra probabilística, você deve fazer a distribuição do resultado encontrado de acordo com a porcentagem de participação de cada setor da empresa, preenchendo a última coluna da tabela abaixo. Obs.: lembre-se de sempre arredondar os valores obtidos para deixá-los sem casas decimais.
	Setor da empresa
	Nº de funcionários
	%
	Amostra
	Administrativo
	140
	4,67%
	
	Financeiro
	30
	1,00%
	
	Recursos Humanos
	25
	0,83%
	
	Marketing
	25
	0,83%
	
	Produção
	2.700
	90,00%
	
	Logística
	35
	1,17%
	
	Manutenção
	45
	1,50%
	
	Total
	3.000
	100

Mais conteúdos dessa disciplina