Prévia do material em texto
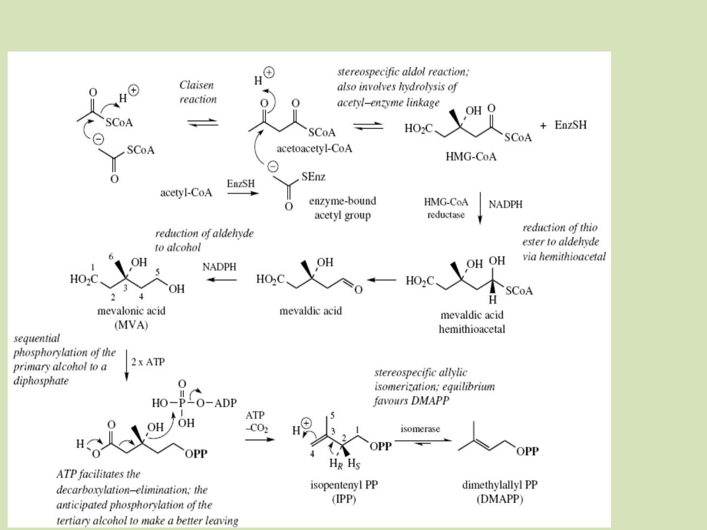
* * Constituem o maior grupo de metabólitos secundários vegetais, os terpenóides, substâncias cuja origem biossintética deriva de unidades do isopreno. * * Estes compostos encontram-se em sementes, flores, folhas, raízes e madeira de plantas superiores assim como em musgo, algas e líquenes. Do ponto de vista químico, são hidrocarbonetos, compostos apenas de carbono e hidrogénio. Alguns são os precursores de certas vitaminas, como A, K e E. Os monoterpenos são constituintes dos óleos voláteis ou óleos essenciais, atuando na atração de polinizadores. * * O caminho do mevalonato * * Monoterpenos * * Os sesquiterpenos, em geral, apresentam funções protetoras contra fungos e bactérias, enquanto muitos diterpenos dão origem aos hormônios de crescimento vegetal. * * Camomila, Matricaria chamomilla, Compositae / Asteraceae As flores contêm 0,5 a 1,5% de óleos essenciais sesquiterpenos como -bisabolol (10 a 25%), óxidos do bisabolol e chamazuleno. È digestiva, antiinflamatória e antiespasmódica. O bisabolol e o chamazuleno são antiinflamatórios, sendo o primeiro também antibacteriano e protetor de úlceras gástricas. * * Sesquiterpenos -bisabolol chamazuleno * * Artemisia annua, Compositae / Asteraceae Planta usada na medicina chinesa tradicional como antimalárica. A artemisinina, uma lactona sesquiterpênica, é a substância responsável pela atividade antimalárica causada pelo Plasmodium falciparum. Diterpenos Taxus brevifolia, Taxaceae As cascas de três árvores, de 100 anos de idade, contém 1% de taxol, substância antitumoral. Para um tratamento são necessárias 2 g. * * * * Ginkgo, Ginkgo biloba L., Ginkgoaceae Parte usada: folhas Membro primitivo das gymnospermas e a única espécie sobrevivente da família Ginkgoaceae, todas as outras são encontradas como fósseis. Os constituintes ativos são os lactonas terpênicas e os glicosídeos flavônicos. Internamente usado para asma, alergia, processos inflamatórios, insuficiência cerebral, varizes. * * Stevia rebaudiana, Asteraceae / compositae O ent-kaureno é precursor do steviosídeo que está presente nas folhas da espécie em grande quantidade (3 a 10 %) e é 100 a 300 vezes mais doce que a sacarose e usado como adoçante. * * Valeriana officinalis L.; Valerianaceae Erva perene, nativa na Europa, cujas raízes secas contém os valepotriatos que são responsáveis pela atividade sedativa da droga. Pesquisadores atribuem também esta atividade ao ácido valerênico (0,3 %), um sesquiterpeno, e aos óleos essenciais como o borneol e valeranona. O ácido aminobutírico ou GABA e glutamina, também identificados no extrato, sugerem contribuir para as propriedades sedativas. * * Triterpenos e Esteróides * * Os terpenos de peso molecular mais alto aparecem nas plantas e animais, e muitos deles desempenham papéis biológicos importantes. O triterpeno lanostererol, por exemplo, é precursor dos hormônios esteróides. * * Os triterpenos e os esteróides, apresentam uma gama de funções; como de proteção contra herbívoros, antimitóticos, e outros atuam na germinação das sementes e na inibição do crescimento da raiz. * * Trabalhos preliminares sustentam o potencial antitumoral destes triterpenos e, neste contexto, podemos citar as inibições do crescimento tumoral in vivo em camundongos com tumores implantados. As três principais atividades farmacológicas que estão relacionadas ao mecanismo antitumoral destes triterpenos são a citotóxica, antiinflamatória e antioxidante. A continuação desses estudos provavelmente levará à descoberta completa deste mecanismo de ação responsável pela atividade citotóxica destes triterpenos nos próximos anos. O AU e outros triterpenóides comuns em plantas são conhecidos por sua atividade antiinflamatória e, sendo assim, é possível que a atividade antitumoral dos mesmos também esteja relacionada às suas propriedades antiinflamatórias. * * Esteróides Triterpenóides contendo o sistema de anel tetracíclico sem metil em C-4 e C-14. * * Outros terpenos, como o fitol, formam parte da clorofila dos carotenóides. Os carotenóides são tetraterpenos que estão presentes em quase todos os vegetais verdes, podendo ser imaginados como dois diterpenos ligados "pé com pé". Todos os carotenos são precursores da vitamina A, pois podem ser convertidos à vitamina A por enzimas do fígado. As cucurbitacinas, as saponinas, os glicosídeos cardíacos e os ésteres de forbol são terpenóides de grande interesse, devido à alta toxicidade que apresentam para os mamíferos. * * * * BIBLIOGRAFIA DEWICK, P. M. Medicinal Natural Products. A biossynthetic approach. John Wiley & Sons, 2002. SIMÕES, C.M.O.; SCHENKEL, E.P.; GOSMANN, G.; MELLO, J.C.P.; MENTZ, L.A.; PETROVICK, P.R. Farmacognosia da planta ao Medicamento. Porto Alegre: Editora da Universidade Federal do Rio Grande do Sul, 5a. ed., 2003. 1102 p. VECHIA, L. D.; GNOATTO, S. C. B.; GOSMANN G. Derivados oleananos e ursanos e sua importância na descoberta de novos fármacos com atividade antitumoral, anti-inflamatória e antioxidante. Quim. Nova, v. 32, n. 5, p.1245-1252, 2009. PASSOS, C. S.; ARBO, M. D.; RATES, S. M. K.; POSER, G. L. Terpenóides com atividade sobre o Sistema Nervoso Central (SNC). Revista Brasileira de Farmacognosia, v.19, n.1A, p. 140-149, 2009