Logo Passei Direto
Buscar
Material
páginas com resultados encontrados.
páginas com resultados encontrados.

Prévia do material em texto

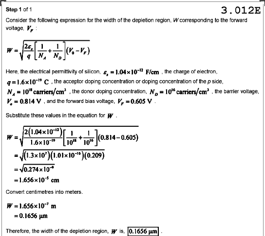
Step 1 of 1 3.012E Consider the following expression for the width of the depletion region, W corresponding to the forward voltage, : W Here, the electrical permittivity of silicon, =1.04x10⁻¹² the charge of electron, q=1.6x10⁻¹⁹ the acceptor doping concentration or doping concentration of the p side, = , the donor doping concentration, = carriers/cm3 , the barrier voltage, V. = 0.814 V , and the forward bias voltage, Substitute these values in the equation for W W = = Convert centimetres into meters. = 0.1656 µm Therefore, the width of the depletion region, W is, 0.1656

Mais conteúdos dessa disciplina