Logo Passei Direto
Buscar
Material
páginas com resultados encontrados.
páginas com resultados encontrados.
left-side-bubbles-backgroundright-side-bubbles-background

Crie sua conta grátis para liberar esse material. 🤩

Já tem uma conta?

Ao continuar, você aceita os Termos de Uso e Política de Privacidade

Prévia do material em texto

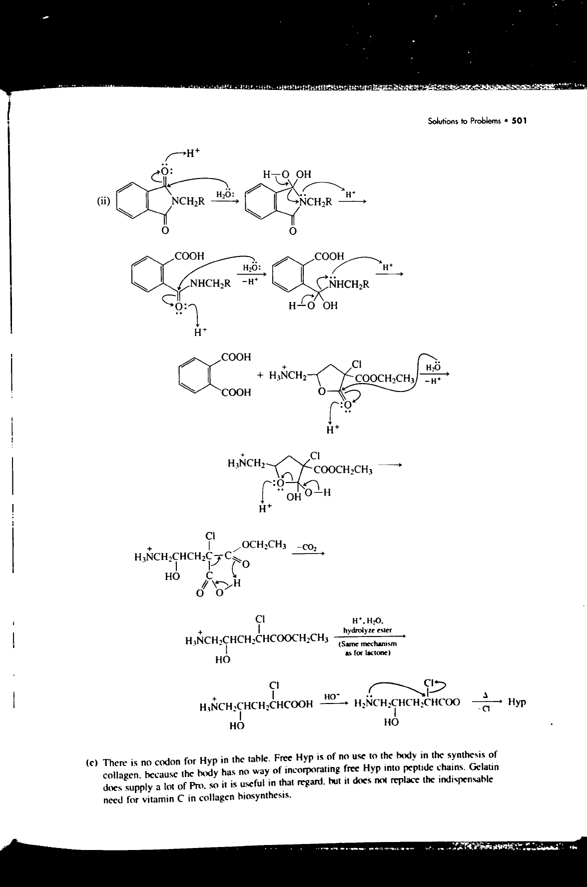
Solutions to Problems 501 OH H₂O: (ii) NCH₂R NCH₂R COOH COOH H₂O: H+ NHCH₂R -H+ NHCH₂R OH H⁺ COOH + CI H₂O + -H+ COOH 0 + :0 OH 0 H CI + OCH₂CH₃ C 0 HO C H 0 0 + hydrolyze ester (Same mechanism as for lactone) HO CI CI + HO Hyp a HO HO (c) There is no codon for Hyp in the table. Free Hyp is of no use to the body in the synthesis of collagen. because the body has no way of incorporating free Hyp into peptide chains. Gelatin does supply a lot of Pro. so it is useful in that regard. but it does not replace the indispensable need for vitamin C in collagen biosynthesis.

Mais conteúdos dessa disciplina