Logo Passei Direto
Buscar
Material
páginas com resultados encontrados.
páginas com resultados encontrados.

Prévia do material em texto

Problem 5.22PP
C (j) =
Using root-locus techniques, find values for the parameters a, b, and K of the compensation 
Dc(s) that will produce closed-loop poles at s = -1±yforthe system shown in Fig.
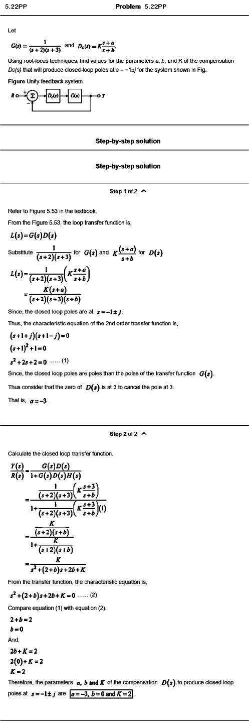
Figure Unity feedback system
Step-by-step solution
Step-by-step solution
step 1 of 2
Refer to Figure 5.53 in the textbook.
From the Figure 5.53, the loop transfer function is,
£ (* ) = G (« )i)(5 )
I
i ( , ) =
(5+2)(j +3)
______ A '( j+ o )
( j + 2 ) ( j + 3 )^5+ 6 )
Since, the closed loop poles are at S = - l ± J
Thus, the characteristic equation of the 2nd order transfer function is,
(j+i+j ) { s + \ - y)»o 
( j + l)^ + l = 0 
s ^ + 2 s + 2 = 0
Since, the closed loop poles are poles than the poles of the transfer function G (^ ) • 
Thus consider that the zero of D (s ) is at 3 to cancel the pole at 3.
That is, a s -3 .
Step 2 of 2
\ +
Calculate the closed loop transfer function.
r ( , ) G ( ^ ) g M 
R(s) i+ G (s )D {s )H {s )
(^ + 2 )(^ + 3 )
K
( i+ 2 ) ( s + i )
“ K
(s *2 )(s + b )
_________ K________
* i '+ ( 2 + f t ) s + 2 * + ^ :
From the transfer function, the characteristic equation is, 
j * + ( 2 + i ) j+ 2 4 + K = 0 (2)
Compare equation (1) with equation (2).
2 + i = 2 
i = 0 
And.
24+A: = 2 
2 ( 0 ) + ^ = 2 
K = 2
Therefore, the parameters Oy b and K of the compensation V (s ) to produce closed loop 
poiesat » = - l ± y are |a = -3 , t = 0an

Mais conteúdos dessa disciplina