Prévia do material em texto
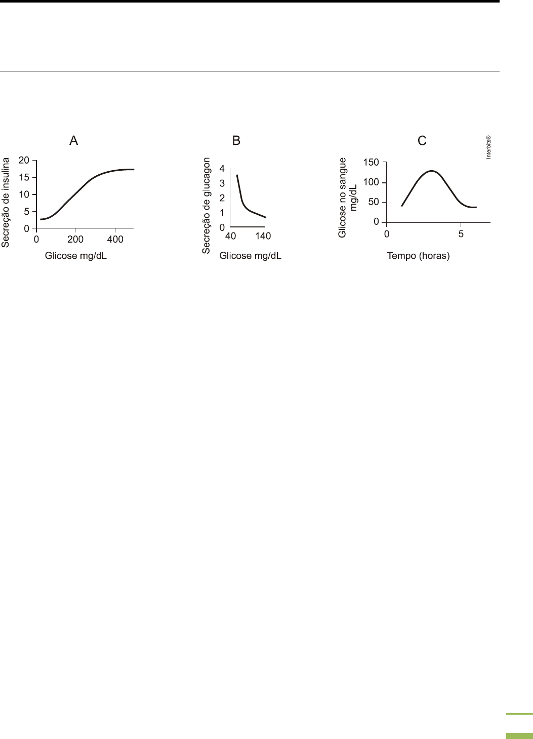
Cap. 6.6 ANATOMIA e FISIOLOGIA: Sistema Endócrino 1 6.6. ANATOMIA e FISIOLOGIA Sistema Endócrino Hipófise, tireoide, paratireoide, suprarrenal e pâncreas. Testes 1. (Unicamp 2011) Os gráficos A, B e C mostram as variações da secreção de insulina e glucagon em função da concentração de glicose, e as variações da concentração de glicose no sangue, após uma refeição rica em carboidratos. Com base nos gráficos acima, pode-se afirmar que a) se os níveis de glicose no sangue estão altos, a secreção de insulina aumenta para permitir que as moléculas de glicose sejam absorvidas pelas células, e os níveis de glucagon perma- necem baixos, pois não há necessidade de o glicogênio ser transformado em glicose. b) o aumento dos níveis de glicose no sangue causa um aumento da secreção de insulina e de glucagon por células do pâncreas, pois ambos os hormônios contribuem para que as molécu- las de açúcar atravessem a membrana plasmática das células. c) a secreção de glucagon é alta em indivíduos que tenham se alimentado de carboidrato duas horas antes, pois muitos desses carboidratos acabam se transformando em glicose; já com relação à insulina, ocorre um aumento porque os níveis de glicose estão elevados. d) as células secretoras do pâncreas estão sempre produzindo grandes quantidades de insulina e de glucagon, pois esses dois hormônios são responsáveis pela captura de glicose do san- gue para as células. 2. (Enem 2012) A condição física apresentada pelo personagem da tirinha é um fator de risco que pode desencadear doenças como a) anemia. b) beribéri. c) diabetes. d) escorbuto. e) fenilcetonúria. Cap. 6.6 ANATOMIA e FISIOLOGIA: Sistema Endócrino 2 3. (Unicamp 2017) O gráfico a seguir representa a variação do índice glicêmico após a ingestão de dois alimentos (mesma quantidade, pela mesma pessoa, mas em momentos diferentes). A linha pontilhada representa o alimento A, enquanto a linha contínua representa o alimento B. A análise do gráfico nos permite afirmar corretamente que: a) O alimento B não afeta a concentração de glicose na circulação sanguínea. b) O alimento A não possui carboidratos em sua composição. c) O alimento B ajuda a emagrecer, pois estimula a liberação de adrenalina. d) O alimento A estimula a liberação de insulina na circulação sanguínea. Dissertativas Não há questões relacionadas exclusivamente com este tópico. Cap. 6.6 ANATOMIA e FISIOLOGIA: Sistema Endócrino 3 RESPOSTAS Testes 1. (Unicamp 2011) [A] Algumas horas após a refeição, o nível de glicose sanguínea aumenta. Nesse período, o pâncreas secreta a insulina, hormônio que reduz a glicemia, pois facilita a entrada da glicose nas células. O nível do hormônio pancreático glucagon permanece baixo, já que não há necessidade de converter o glicogênio armazenado em glicose. 2. (Enem 2012) [C] A obesidade e o sedentarismo podem desencadear o desenvolvimento do dia- betes, doença caracterizada por hiperglicemia e danos subsequentes nos componentes do sis- tema circulatório. 3. (Unicamp 2017) [D] O alimento A é constituído por carboidratos, porque, após sua ingestão e absorção, provocou aumento da taxa de glicose sanguínea (glicemia) e, consequentemente, es- timulou a liberação de insulina, hormônio pancreático que reduz a taxa de glicose no sangue.