Logo Passei Direto
Buscar
Material
páginas com resultados encontrados.
páginas com resultados encontrados.
left-side-bubbles-backgroundright-side-bubbles-background

Experimente o Premium!star struck emoji

Acesse conteúdos dessa e de diversas outras disciplinas.

Libere conteúdos
sem pagar

Ajude estudantes e ganhe conteúdos liberados!

left-side-bubbles-backgroundright-side-bubbles-background

Experimente o Premium!star struck emoji

Acesse conteúdos dessa e de diversas outras disciplinas.

Libere conteúdos
sem pagar

Ajude estudantes e ganhe conteúdos liberados!

Prévia do material em texto

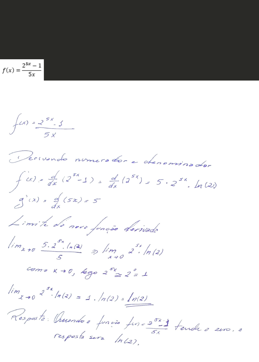
No cálculo de limites, algumas funções permitem apresentar o valor do limite de forma direta. Damos a isso o nome de limites fundamentais. Estes limites, na maior parte das vezes, estão ligados a elementos trigonométricos, exponenciais ou logarítmicos. 
Baseado nestes limites fundamentais, determine o limite da função a seguir, quando x tende a zero.
Com relação ao conceito de integral, existem várias aplicações que podemos destacar, principalmente na área das engenharias. A relação entre as derivadas e integrais tornou-se uma das ferramentas mais poderosas para analisar diversos fenômenos. O primeiro passo para se construir o conceito de integral é estudar alguns critérios de cálculo. 
Sem assim, resolva a integral indefinida a seguir.
Obs.: não esqueça de realizar todos os passos necessários para a resolução desta questão.
image1.png
image2.png
image3.png

Mais conteúdos dessa disciplina