Logo Passei Direto
Buscar
Material
páginas com resultados encontrados.
páginas com resultados encontrados.
left-side-bubbles-backgroundright-side-bubbles-background

Crie sua conta grátis para liberar esse material. 🤩

Já tem uma conta?

Ao continuar, você aceita os Termos de Uso e Política de Privacidade

left-side-bubbles-backgroundright-side-bubbles-background

Crie sua conta grátis para liberar esse material. 🤩

Já tem uma conta?

Ao continuar, você aceita os Termos de Uso e Política de Privacidade

Prévia do material em texto

UNIFEI – Universidade Federal de Itajubá
ENGENHARIA QUÍMICA 
Terceira lista de exercícios (valendo 1,0 ponto na P2)
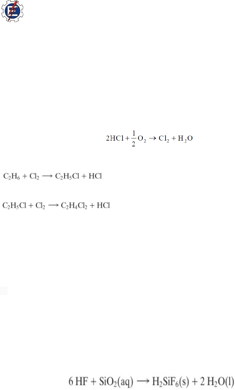
1. No processo Deacon para a fabricação de cloro, HCl e O2 reagem para formar Cl2 e H2O. 
Alimenta-se o ar (79% molar N2, 21% O2) o suficiente para fornecer 35% de excesso de oxigênio, 
e a conversão fracional de HCl é 85%. (a) Calcule as frações molares dos componentes na corrente 
de produto usando balanços de espécies atômicas. (b) Calcule de novo as frações molares na 
corrente de produto usando agora a extensão da reação.
2. O etano é clorado em um reator contínuo. 
Parte do produto, monocloroetano, é depois clorado em uma reação paralela não desejada.
(a) Tome como base 100 mol C2H5Cl produzido. Admita que a alimentação contém apenas etano e 
cloro e que todo o cloro é consumido; faça uma análise dos graus de liberdade baseada nos balanços 
de espécies atômicas. (b) O reator é projetado para fornecer uma conversão de 15% de etano e uma 
seletividade de 14 mol C2H5Cl/ mol C2H4Cl2, com uma quantidade desprezível de cloro no 
produto gasoso. Calcule a razão de alimentação (mol Cl2/mol C2H6) e o rendimento fracional de 
monocloroetano.
3. O fluoreto de cálcio sólido (CaF2) reage com ácido sulfúrico para formar sulfato de cálcio sólido 
e fluoreto de hidrogênio gasoso. O HF é então dissolvido em água para formar ácido fluorídrico. 
Uma fonte de fluoreto de cálcio é o minério de fluorita, que contém 96,0% em massa de CaF2 e 
4,0% de SiO2. Em um processo típico de produção de ácido fluorídrico, o minério de fluorita reage 
com uma solução aquosa 93% em massa de ácido sulfúrico, fornecida com 15% de excesso em 
relação à quantidade estequiométrica. Noventa e cinco por cento do minério se dissolvem no ácido. 
Parte do HF formado reage com o silício dissolvido através da reação O fluoreto de hidrogênio que 
deixa o reator é subseqüentemente dissolvido em água suficiente para produzir ácido fluorídrico 
60,0% em massa. Calcule a quantidade de minério de fluorita necessária para produzir uma tonelada 
de ácido.
4. Um gás contém 80,0% em massa de propano, 15,0% de n-butano e o resto de H2O. 
(a) Calcule a composição molar deste gás em base seca e em base úmida, e a razão (mol H2O/mol 
ar seco). 
(b)Se 100 kg/h deste combustível são queimados com 30% de ar em excesso, qual será a vazão de 
ar de alimentação requerida (kmol/h)?
5. Um gás natural contendo uma mistura de metano, etano, propano e butano é queimado em uma 
fornalha com excesso de ar.
(a) Cem kmol/h de um gás contendo 94,4% molar de metano, 3,40% de etano, 0,60% de propano e 
0,50% de butano são queimados com 17% de excesso de ar. Calcule a vazão molar de ar necessária.
6. Uma mistura 75% molar de propano e 25% de hidrogênio é queimada com 25% de ar em 
excesso. São atingidas conversões fracionais de 90% do propano e 85% do hidrogênio; do propano 
que reage, 95% formam CO2 e o resto forma CO. O produto gasoso quente passa através de uma 
caldeira, na qual o calor transferido do gás converte a água da caldeira em vapor de água. Calcule a 
concentração de CO (ppm) no gás de chaminé. Base de cálculo: 100 mol de gás

Mais conteúdos dessa disciplina