Logo Passei Direto
Buscar
Material
páginas com resultados encontrados.
páginas com resultados encontrados.
left-side-bubbles-backgroundright-side-bubbles-background

Crie sua conta grátis para liberar esse material. 🤩

Já tem uma conta?

Ao continuar, você aceita os Termos de Uso e Política de Privacidade

Prévia do material em texto

enem2021 
 
/////////////////////////////////////////////////////////////////////////////////////////////////////////////////////////////////////////////////////////////////////////// 
 
/////////////////////////////////////////////////////////////////////////////////////////////////////////////////////////////////////////////////////////////////////////// 
 I8020 – Help Educacional | Caderno de questões – Página 1 
CIÊNCIAS DA NATUREZA E SUAS 
TECNOLOGIAS 
Questões de 1 a 10 
Questão 1 //////////////////////////////////////////////////////////// 
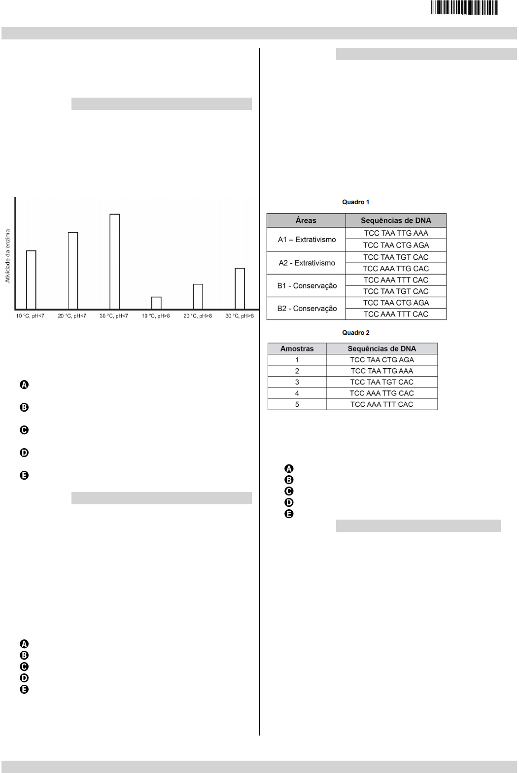
Sabendo-se que as enzimas podem ter sua atividade 
regulada por diferentes condições de temperatura e pH, 
foi realizado um experimento para testar as condições 
ótimas para a atividade de uma determinada enzima. Os 
resultados estão apresentados no gráfico. 
 
Em relação ao funcionamento da enzima, os resultados 
obtidos indicam que o(a) 
 aumento do pH leva a uma atividade maior da 
enzima. 
 temperatura baixa (10 °C) é o principal inibidor 
da enzima. 
 ambiente básico reduz a quantidade de enzima 
necessária na reação. 
 ambiente básico reduz a quantidade de 
substrato metabolizado pela enzima. 
 temperatura ótima de funcionamento da enzima 
é 30 °C, independentemente do pH. 
Questão 2 //////////////////////////////////////////////////////////// 
Na década de 1940, na Região Centro-Oeste, produtores 
rurais, cujos bois, porcos, aves e cabras estavam 
morrendo por uma peste desconhecida fizeram uma 
promessa, que consistiu em não comer carne e derivados 
até que a peste fosse debelada. Assim, durante três 
meses, arroz, feijão, verduras e legumes formaram o 
prato principal desses produtores 
O Hoje, 15 out. 2011 (adaptado). 
Para suprir o déficit nutricional a que os produtores rurais 
se submeteram durante o período da promessa, foi 
importante eles terem consumido alimentos ricos em: 
 vitaminas A e E 
 frutose e sacarose 
 aminoácidos naturais 
 aminoácidos essenciais 
 ácidos graxos saturados. 
 
 
 
 
Questão 3 //////////////////////////////////////////////////////////// 
Considere um banco de dados (Quadro 1) que apresenta 
sequências hipotéticas de DNA de duas áreas de 
extrativismo permitido (A1 e A2) e duas áreas de 
conservação (B1 e B2). Um órgão de fiscalização 
ambiental recebeu uma denúncia anônima de que cinco 
lojas moveleiras (1, 2, 3, 4 e 5) estariam comercializando 
produtos fabricados com madeira oriunda de áreas onde 
a extração é proibida. As sequências de DNA das 
amostras dos lotes apreendidos nas lojas moveleiras 
foram determinadas (Quadro 2). 
 
Qual loja moveleira comercializa madeira exclusivamente 
de forma ilegal? 
 1 
 2 
 3 
 4 
 5 
Questão 4 //////////////////////////////////////////////////////////// 
Ecos de uma dieta pobre Pesquisa feita na UNESP, em 
Botucatu, dividiu ratas grávidas em dois grupos. O 
primeiro grupo recebeu dieta com 17% de proteínas e o 
segundo recebeu dieta com apenas 6% de proteínas. No 
segundo grupo, os filhotes desmamados (com 3 
semanas) apresentaram maior expressão dos genes 
produtores de lactase e adultos (com 16 semanas) 
apresentavam grande atividade de sacarase. Além disso, 
ambos apresentavam grande atividade do transportador 
de glicose pela membrana das células intestinais, 
conhecido como SGLT1. 
(Baseado em Ciência Hoje-set. 2012) 
Segundo os resultados da pesquisa, uma alimentação 
pobre em proteínas tem como consequência

Mais conteúdos dessa disciplina