Logo Passei Direto
Buscar
Material
páginas com resultados encontrados.
páginas com resultados encontrados.
left-side-bubbles-backgroundright-side-bubbles-background

Experimente o Premium!star struck emoji

Acesse conteúdos dessa e de diversas outras disciplinas.

Libere conteúdos
sem pagar

Ajude estudantes e ganhe conteúdos liberados!

left-side-bubbles-backgroundright-side-bubbles-background

Experimente o Premium!star struck emoji

Acesse conteúdos dessa e de diversas outras disciplinas.

Libere conteúdos
sem pagar

Ajude estudantes e ganhe conteúdos liberados!

Prévia do material em texto

CENTRO UNIVERSITÁRIO ESTÁCIO 
 
Disciplina: ELEMENTOS DE MÁQUINAS 
 
Atividade – Valendo 1,0 (um ponto) extra 
 
 
Observações: 
1- Apenas uma alternativa está correta; 
2- As respostas devem ser entregues na aula do dia 25/10, com a identificação do nome 
completo do aluno. 
3- Cada questão vale 0,20 pontos. 
 
Questão 01: 
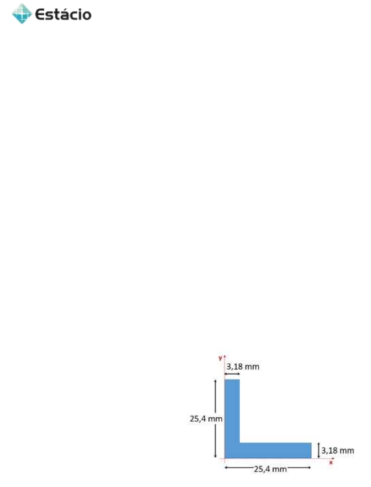
A cantoneira metálica mostrada na figura será usada como elemento de 
diagonal de uma treliça de cobertura. Para o dimensionamento o 
Engenheiro precisa ter conhecimento das propriedades geométricas de 
área desta cantoneira. Determine a coordenada x do centroide deste perfil, 
de acordo com os eixos mostrados na figura. 
 
 
 
 
Questão 02: 
Uma viga com seção transversal retangular foi projetada com dimensões de 
0,15m de base e 0,50m de altura. Considere que os eixos x e y estão 
posicionados no centroide da figura. Determine o momento de Inércia Ix e 
Iy. 
 
 
CENTRO UNIVERSITÁRIO ESTÁCIO 
 
Disciplina: ELEMENTOS DE MÁQUINAS 
 
Atividade – Valendo 1,0 (um ponto) extra 
 
 
Questão 03: 
Determine o diâmetro exigido para um eixo de aço (G=75GPA) com 
comprimento de 600 mm e que deve transmitir um torque de 56 N.m. A 
tensão cisalhante no eixo não deve ser superior a 70MPa e o ângulo de 
torção deve ser superior a 0,05 rad. 
 
Questão 04: 
Considerando a figura abaixo, determinar o raio de giração, sendo que b = 
20cm e h = 25cm. 
Obs: Consultar tabela de características geométricas de figuras conhecidas 
para obter a equação do raio de giração. 
 
Questão 05: 
A figura representa a seção transversal de uma viga “T”. Para a figura, 
determinar: 
a) o centro de gravidade; 
b) o momento de inércia em relação ao eixo x;

Mais conteúdos dessa disciplina