Logo Passei Direto
Buscar
Material
páginas com resultados encontrados.
páginas com resultados encontrados.
left-side-bubbles-backgroundright-side-bubbles-background

Crie sua conta grátis para liberar esse material. 🤩

Já tem uma conta?

Ao continuar, você aceita os Termos de Uso e Política de Privacidade

left-side-bubbles-backgroundright-side-bubbles-background

Crie sua conta grátis para liberar esse material. 🤩

Já tem uma conta?

Ao continuar, você aceita os Termos de Uso e Política de Privacidade

Prévia do material em texto

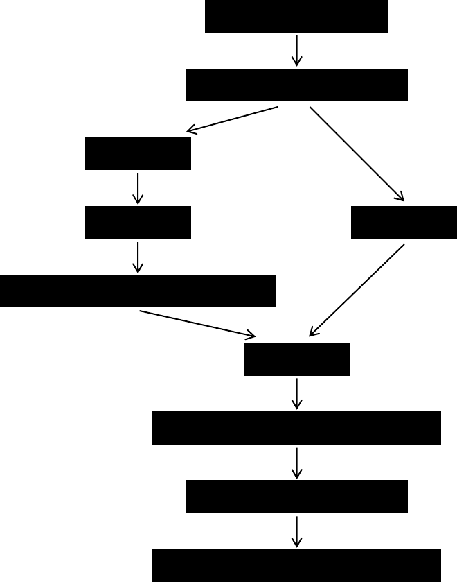
<p>Nome: Marcus André Alves Zimmermann Vieira</p><p>Matrícula: 18113160162</p><p>Curso: Engenharia de Produção</p><p>Pólo: São Gonçalo</p><p>Período: 2020.2</p><p>AD1 de Processos Industriais e de Fabricação</p><p>Professor: Tatiana Caneda Salazar</p><p>Tutora: Paula Cipriano da Silva</p><p>1) Faça um fluxograma de uma planta de fundição de areia verde.</p><p>* Sendo que no processo de moldagem temporária com areia verde, há o seguinte passo a</p><p>passo:</p><p>Pedido dos clientes</p><p>Planejamento de produção</p><p>Modelação</p><p>Macharia</p><p>Moldagem temporária com areia verde*</p><p>Fusão</p><p>Vazamento</p><p>Desmoldagem / rebarbação e acabamento</p><p>Tratamento térmico</p><p>Inspeção final / controle de qualidade</p><p>Fonte: Adaptado de Salazar, 2020, aulas 1 (p. 4) e 2 (p. 3-5).</p><p>2) Explique a diferença dos processos de molde perdido e molde permanente. Cite 2 exemplos</p><p>de cada tipo de processo.</p><p>Os moldes perdidos também são chamados de temporários, pois eles são destruídos para</p><p>retirada da peça após a solidificação do metal. Enquanto isso, os moldes permanentes podem</p><p>ser reaproveitados para fabricar outras peças iguais, já que são bipartidos para facilitar a</p><p>retirada da peça solidificada. Os moldes perdidos são formados essencialmente de areia e um</p><p>aglomerante para atribuir algumas propriedades à areia, enquanto os moldes permanentes</p><p>são feitos de materiais metálicos de fácil usinagem. Como exemplo dos moldes temporários,</p><p>há os aglomerados com argila (a verde ou a seco) e os ligados quimicamente (com silicato de</p><p>sódio, com cimento, com gesso ou com resinas); e para os permanentes, temos fundições por</p><p>coquilha, sob pressão e por centrifugação (Salazar, 2020, aula 1, p. 8-9)</p><p>Referência bibliográfica:</p><p>Salazar, T. C. Material didático do CEDERJ de Processos Industriais e de Fabricação. 2020.</p><p>Posiciona metade da</p><p>caixa de moldar sobre</p><p>uma superfície lisa,</p><p>incluindo a metade do</p><p>modelo no fundo</p><p>Acrescenta mistura de</p><p>areia na caixa,</p><p>socando para</p><p>compactar</p><p>Desvira a caixa e</p><p>posiciona a segunda</p><p>metade do modelo</p><p>sobre a primeira</p><p>metade</p><p>Posiciona e tranca a</p><p>outra metade da caixa</p><p>de moldar em cima,</p><p>acrescendando a</p><p>mistura de areia e</p><p>socando novamente</p><p>até preencher tudo</p><p>Abre as caixas e retira</p><p>ambas as metades do</p><p>modelo</p><p>Posiciona o macho no</p><p>local predeterminado,</p><p>fechando e trancando</p><p>as duas metades da</p><p>caixa novamente</p><p>Abre canais no molde</p><p>para entrada do metal</p>

Mais conteúdos dessa disciplina