Logo Passei Direto
Buscar

Exercicio Conjunto Numerico

Ferramentas de estudo

Questões resolvidas

4. A ideia de conjuntos pode ser utilizada em problemas aplicados em que desejamos analisar as preferências de consumidores em relação a determinados produtos, visando à tomada de decisão. Considere que, em uma pesquisa com 120 pessoas, foi descoberto que: 65 leem a revista Newsweek, 42 leem Fortune, 45 leem Time, 20 leem Newsweek e Time, 25 leem Newsweek e Fortune, 15 leem Time e Fortune, 8 leem as três revistas, e 20 pessoas não leem nenhuma das três revistas. Com base nesses dados, o número de pessoas que leem apenas uma revista é: 56. Para resolver essa questão, é necessário montar o diagrama de Venn com três círculos e, com isso, colocar os termos de dentro para fora fazendo as subtrações. Ou seja, coloca-se primeiro as pessoas que leem as três revistas, depois subtrai-se e coloca-se o valor das pessoas que leem duas revistas; por fim, subtrai-se e coloca-se o valor das que leem apenas uma. Dessa forma, as pessoas que leem apenas uma delas são: 28 + 10 + 18 = 56 pessoas.

Material
páginas com resultados encontrados.
páginas com resultados encontrados.
left-side-bubbles-backgroundright-side-bubbles-background

Crie sua conta grátis para liberar esse material. 🤩

Já tem uma conta?

Ao continuar, você aceita os Termos de Uso e Política de Privacidade

left-side-bubbles-backgroundright-side-bubbles-background

Crie sua conta grátis para liberar esse material. 🤩

Já tem uma conta?

Ao continuar, você aceita os Termos de Uso e Política de Privacidade

left-side-bubbles-backgroundright-side-bubbles-background

Crie sua conta grátis para liberar esse material. 🤩

Já tem uma conta?

Ao continuar, você aceita os Termos de Uso e Política de Privacidade

Questões resolvidas

4. A ideia de conjuntos pode ser utilizada em problemas aplicados em que desejamos analisar as preferências de consumidores em relação a determinados produtos, visando à tomada de decisão. Considere que, em uma pesquisa com 120 pessoas, foi descoberto que: 65 leem a revista Newsweek, 42 leem Fortune, 45 leem Time, 20 leem Newsweek e Time, 25 leem Newsweek e Fortune, 15 leem Time e Fortune, 8 leem as três revistas, e 20 pessoas não leem nenhuma das três revistas. Com base nesses dados, o número de pessoas que leem apenas uma revista é: 56. Para resolver essa questão, é necessário montar o diagrama de Venn com três círculos e, com isso, colocar os termos de dentro para fora fazendo as subtrações. Ou seja, coloca-se primeiro as pessoas que leem as três revistas, depois subtrai-se e coloca-se o valor das pessoas que leem duas revistas; por fim, subtrai-se e coloca-se o valor das que leem apenas uma. Dessa forma, as pessoas que leem apenas uma delas são: 28 + 10 + 18 = 56 pessoas.

Prévia do material em texto

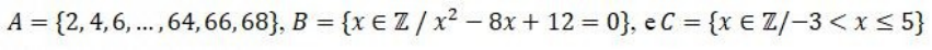
<p>1. A teoria dos conjuntos pode ser utilizada tanto na matemática quanto em problemas aplicados, uma vez que os elementos de um conjunto não precisam necessariamente ser números. Independentemente do tipo dos elementos, é muito importante reconhecer as relações de pertinência (entre elemento e conjunto) e de inclusão (entre conjuntos).Com base no exposto, considere os conjuntos:</p><p>Preencha as lacunas com ∈, ∉, ⊂, ⊃ as respectivas preposições a seguir:</p><p>i. A __ B</p><p>ii. B __ A</p><p>iii. 36 __ A</p><p>iv. 6 __ B</p><p>v. –3 __ C</p><p>⊃, ⊂, ∈, ∈, ∉.</p><p>O conjunto A é o conjunto de todos os números pares de 2 até 68. O conjunto B é solução da equação do segundo grau, ou seja, as raízes 6 e 2. Por fim, o conjunto C são os números –2, –1, 0, 1, 2, 3, 4, 5. Dessa forma, a sequência correta será: A ⊃ B, B ⊂ A, 36 ∈ A, 6 ∈ B, –3 ∉ C.</p><p>Ainda vale lembrar que os símbolos de ∈ ou ∉ são utilizados apenas entre elemento e conjunto. Já os símbolos de ⊂ ou ⊃ são utilizados entre conjuntos ou subconjuntos.</p><p>2. No estudo dos conjuntos, como em toda a matemática, é importante estar atentos às notações.</p><p>Por exemplo, utilizamos letras latinas maiúsculas para nomear os conjuntos e letras latinas minúsculas para representar os elementos, que devem aparecer entre chaves e separados por vírgula.</p><p>Marque a opção que apresenta uma representação correta de conjunto.</p><p>T = {a, b, c, d}.</p><p>Conjuntos são representados por letras maiúsculas, e usamos letras minúsculas para denotar elementos de conjuntos entre par de chaves.</p><p>3. Identificar os elementos pertencentes a um conjunto é muito importante, seja em problemas teóricos ou aplicados, pois a partir dessa identificação é que se pode realizar as relações de pertinência. É importante saber que, para descrever os elementos de um conjunto, geralmente são utilizadas chaves e vírgulas para separar os elementos e que os elementos de um conjunto podem ser objetos de diversas naturezas, inclusive um conjunto pode ser elemento de outro conjunto.</p><p>Com base no exposto, considere o conjunto A = {{1, 2, 3}, {4, 5}, {6, 7, 8}} e marque a opção correta que lista os elementos de A.</p><p>A tem três elementos: os conjuntos {1, 2, 3}, {4, 5} e {6, 7, 8}.</p><p>Observe que um conjunto é representado entre chaves e que seus elementos são separados por vírgula, podendo ser de qualquer natureza, inclusive outro conjunto. Nesse caso, temos no conjunto A três elementos, que são conjuntos, separados por vírgula, ou seja, A tem três elementos: os conjuntos {1, 2, 3}, {4, 5} e {6, 7, 8}.</p><p>4. A ideia de conjuntos pode ser utilizada em problemas aplicados em que desejamos analisar as preferências de consumidores em relação a determinados produtos, visando à tomada de decisão. Considere que, em uma pesquisa com 120 pessoas, foi descoberto que: 65 leem a revista Newsweek, 42 leem Fortune, 45 leem Time, 20 leem Newsweek e Time, 25 leem Newsweek e Fortune, 15 leem Time e Fortune, 8 leem as três revistas, e 20 pessoas não leem nenhuma das três revistas.</p><p>Com base nesses dados, o número de pessoas que leem apenas uma revista é:</p><p>56.</p><p>Para resolver essa questão, é necessário montar o diagrama de Venn com três círculos e, com isso, colocar os termos de dentro para fora fazendo as subtrações. Ou seja, coloca-se primeiro as pessoas que leem as três revistas, depois subtrai-se e coloca-se o valor das pessoas que leem duas revistas; por fim, subtrai-se e coloca-se o valor das que leem apenas uma. Dessa forma, as pessoas que leem apenas uma delas são: 28 + 10 + 18 = 56 pessoas.</p><p>5. No estudo da teoria dos conjuntos, algumas operações podem ser definidas, como, por exemplo, a união, a interseção, o complementar e a diferença. A união de dois conjuntos A e B representa um conjunto com todos os elementos de A ou B. A interseção de dois conjuntos A e B representa um conjunto formado por elementos que pertencem a ambos. O complementar de um conjunto A é o conjunto de elementos que pertencem ao universo U, mas que não pertencem a A. A diferença A – B entre os conjuntos A e B é o conjunto de elementos que pertencem a A, mas não pertencem a B.</p><p>Diante dessas definições, e conhecendo os conjuntos A ={x, y, z, w, t}, B = {w, o, u, t, x} e C = {o, t, z}, o conjunto {y, z} é resultado de qual operação?</p><p>(A ∪ C) – B.</p><p>Para encontrar a solução deste exercício, é necessário realizar cada uma das operações apresentadas. Com isso, verifica-se que a alternativa correta é (A ∪ C) – B, pois:</p><p>(A ∪ C) – B</p><p>{x, y, z, w, t, o}-{w, o, u, t, x}</p><p>{y ,z}</p><p>image1.jpeg</p><p>image2.jpeg</p><p>image3.png</p>

Mais conteúdos dessa disciplina