Logo Passei Direto
Buscar

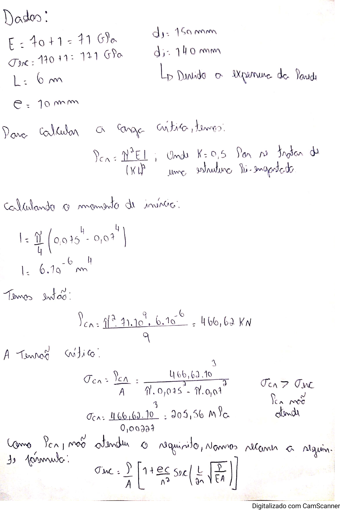
Flambagem

Material
páginas com resultados encontrados.
páginas com resultados encontrados.
left-side-bubbles-backgroundright-side-bubbles-background

Crie sua conta grátis para liberar esse material. 🤩

Já tem uma conta?

Ao continuar, você aceita os Termos de Uso e Política de Privacidade

left-side-bubbles-backgroundright-side-bubbles-background

Crie sua conta grátis para liberar esse material. 🤩

Já tem uma conta?

Ao continuar, você aceita os Termos de Uso e Política de Privacidade

Prévia do material em texto

https://digital-camscanner.onelink.me/P3GL/g26ffx3k
https://digital-camscanner.onelink.me/P3GL/g26ffx3k

Mais conteúdos dessa disciplina