Logo Passei Direto
Buscar

Provas de matemática

Ferramentas de estudo

Questões resolvidas

Um médico receitou a um de seus pacientes uma medicação, a qual deve ser ingerida semanalmente durante um período de 5 semanas. De acordo com a receita, o paciente deve ingerir essa medicação conforme uma progressão geométrica crescente, de tal forma que na primeira semana ele deve ingerir 32 mg do medicamento, enquanto que na terceira semana, esse paciente deve ingerir 72 mg desse mesmo medicamento.
Com base nessas informações, analise os itens a seguir, classificando-os como verdadeiros (V) ou falsos (F):
( ) A quantidade total de medicamento ingerida pelo paciente durante esse tratamento será de 422 mg.
( ) A quantidade de medicamento ingerida semanalmente envolve uma progressão geométrica de razão 2,25.
( ) O paciente deverá ingerir 162 mg desse medicamento na última semana do tratamento.
A) V – F – V.
B) F – F – V.
C) F – V – F.
D) V – V – F.
E) V – F – F.

Podemos estudar a pressão atmosférica em função da altitude, o que permite relacionar como se dá a pressão em diferentes regiões e os efeitos sobre o corpo humano e sobre os demais seres vivos.
Com base nessas informações, se a pressão em determinada região é de 0,729 atm, o que podemos inferir a respeito da altitude dessa região?
A) A altitude da região é de 5,5 quilômetros.
B) A altitude da região é de 5,0 quilômetros.
C) A altitude da região é de 4,0 quilômetros.
D) A altitude da região é de 6,0 quilômetros.
E) A altitude da região é de 3,0 quilômetros.

Seja a seguinte figura, a qual ilustra as retas r, s e t, paralelas entre si, bem como duas retas transversais a elas: Suponha que a distância entre os pontos O e C seja de 4 unidades e que a distância entre os pontos O e D seja de 9 unidades. Sabendo que a distância entre os pontos B e O corresponde ao quádruplo da distância entre os pontos A e O.
Assinale a alternativa correta:
A) A distância entre os pontos A e O é de 3 unidades.
B) A distância entre os pontos A e O é de 15 unidades.
C) A distância entre os pontos A e O é de 12 unidades.
D) A distância entre os pontos B e O é de 6 unidades.
E) A distância entre os pontos B e O é de 14 unidades.

Seja o triângulo descrito na seguinte figura: As medidas dos ângulos internos do triângulo MNP nos vértices P e N são, respectivamente, 50° e 70°. Além disso, temos que a distância entre os vértices P e M é de, aproximadamente, 25 cm.
Considerando as informações apresentadas e adotando as aproximações assinale a alternativa que indica o perímetro aproximado para o triângulo PMN:
A) O perímetro do triângulo é de, aproximadamente, 71,3 cm.
B) O perímetro do triângulo é de, aproximadamente, 77,1 cm.
C) O perímetro do triângulo é de, aproximadamente, 79,6 cm.
D) O perímetro do triângulo é de, aproximadamente, 68,6 cm.
E) O perímetro do triângulo é de, aproximadamente, 75,5 cm.

Material
páginas com resultados encontrados.
páginas com resultados encontrados.
left-side-bubbles-backgroundright-side-bubbles-background

Crie sua conta grátis para liberar esse material. 🤩

Já tem uma conta?

Ao continuar, você aceita os Termos de Uso e Política de Privacidade

left-side-bubbles-backgroundright-side-bubbles-background

Crie sua conta grátis para liberar esse material. 🤩

Já tem uma conta?

Ao continuar, você aceita os Termos de Uso e Política de Privacidade

left-side-bubbles-backgroundright-side-bubbles-background

Crie sua conta grátis para liberar esse material. 🤩

Já tem uma conta?

Ao continuar, você aceita os Termos de Uso e Política de Privacidade

left-side-bubbles-backgroundright-side-bubbles-background

Crie sua conta grátis para liberar esse material. 🤩

Já tem uma conta?

Ao continuar, você aceita os Termos de Uso e Política de Privacidade

left-side-bubbles-backgroundright-side-bubbles-background

Crie sua conta grátis para liberar esse material. 🤩

Já tem uma conta?

Ao continuar, você aceita os Termos de Uso e Política de Privacidade

left-side-bubbles-backgroundright-side-bubbles-background

Crie sua conta grátis para liberar esse material. 🤩

Já tem uma conta?

Ao continuar, você aceita os Termos de Uso e Política de Privacidade

left-side-bubbles-backgroundright-side-bubbles-background

Crie sua conta grátis para liberar esse material. 🤩

Já tem uma conta?

Ao continuar, você aceita os Termos de Uso e Política de Privacidade

left-side-bubbles-backgroundright-side-bubbles-background

Crie sua conta grátis para liberar esse material. 🤩

Já tem uma conta?

Ao continuar, você aceita os Termos de Uso e Política de Privacidade

left-side-bubbles-backgroundright-side-bubbles-background

Crie sua conta grátis para liberar esse material. 🤩

Já tem uma conta?

Ao continuar, você aceita os Termos de Uso e Política de Privacidade

left-side-bubbles-backgroundright-side-bubbles-background

Crie sua conta grátis para liberar esse material. 🤩

Já tem uma conta?

Ao continuar, você aceita os Termos de Uso e Política de Privacidade

Questões resolvidas

Um médico receitou a um de seus pacientes uma medicação, a qual deve ser ingerida semanalmente durante um período de 5 semanas. De acordo com a receita, o paciente deve ingerir essa medicação conforme uma progressão geométrica crescente, de tal forma que na primeira semana ele deve ingerir 32 mg do medicamento, enquanto que na terceira semana, esse paciente deve ingerir 72 mg desse mesmo medicamento.
Com base nessas informações, analise os itens a seguir, classificando-os como verdadeiros (V) ou falsos (F):
( ) A quantidade total de medicamento ingerida pelo paciente durante esse tratamento será de 422 mg.
( ) A quantidade de medicamento ingerida semanalmente envolve uma progressão geométrica de razão 2,25.
( ) O paciente deverá ingerir 162 mg desse medicamento na última semana do tratamento.
A) V – F – V.
B) F – F – V.
C) F – V – F.
D) V – V – F.
E) V – F – F.

Podemos estudar a pressão atmosférica em função da altitude, o que permite relacionar como se dá a pressão em diferentes regiões e os efeitos sobre o corpo humano e sobre os demais seres vivos.
Com base nessas informações, se a pressão em determinada região é de 0,729 atm, o que podemos inferir a respeito da altitude dessa região?
A) A altitude da região é de 5,5 quilômetros.
B) A altitude da região é de 5,0 quilômetros.
C) A altitude da região é de 4,0 quilômetros.
D) A altitude da região é de 6,0 quilômetros.
E) A altitude da região é de 3,0 quilômetros.

Seja a seguinte figura, a qual ilustra as retas r, s e t, paralelas entre si, bem como duas retas transversais a elas: Suponha que a distância entre os pontos O e C seja de 4 unidades e que a distância entre os pontos O e D seja de 9 unidades. Sabendo que a distância entre os pontos B e O corresponde ao quádruplo da distância entre os pontos A e O.
Assinale a alternativa correta:
A) A distância entre os pontos A e O é de 3 unidades.
B) A distância entre os pontos A e O é de 15 unidades.
C) A distância entre os pontos A e O é de 12 unidades.
D) A distância entre os pontos B e O é de 6 unidades.
E) A distância entre os pontos B e O é de 14 unidades.

Seja o triângulo descrito na seguinte figura: As medidas dos ângulos internos do triângulo MNP nos vértices P e N são, respectivamente, 50° e 70°. Além disso, temos que a distância entre os vértices P e M é de, aproximadamente, 25 cm.
Considerando as informações apresentadas e adotando as aproximações assinale a alternativa que indica o perímetro aproximado para o triângulo PMN:
A) O perímetro do triângulo é de, aproximadamente, 71,3 cm.
B) O perímetro do triângulo é de, aproximadamente, 77,1 cm.
C) O perímetro do triângulo é de, aproximadamente, 79,6 cm.
D) O perímetro do triângulo é de, aproximadamente, 68,6 cm.
E) O perímetro do triângulo é de, aproximadamente, 75,5 cm.

Prévia do material em texto

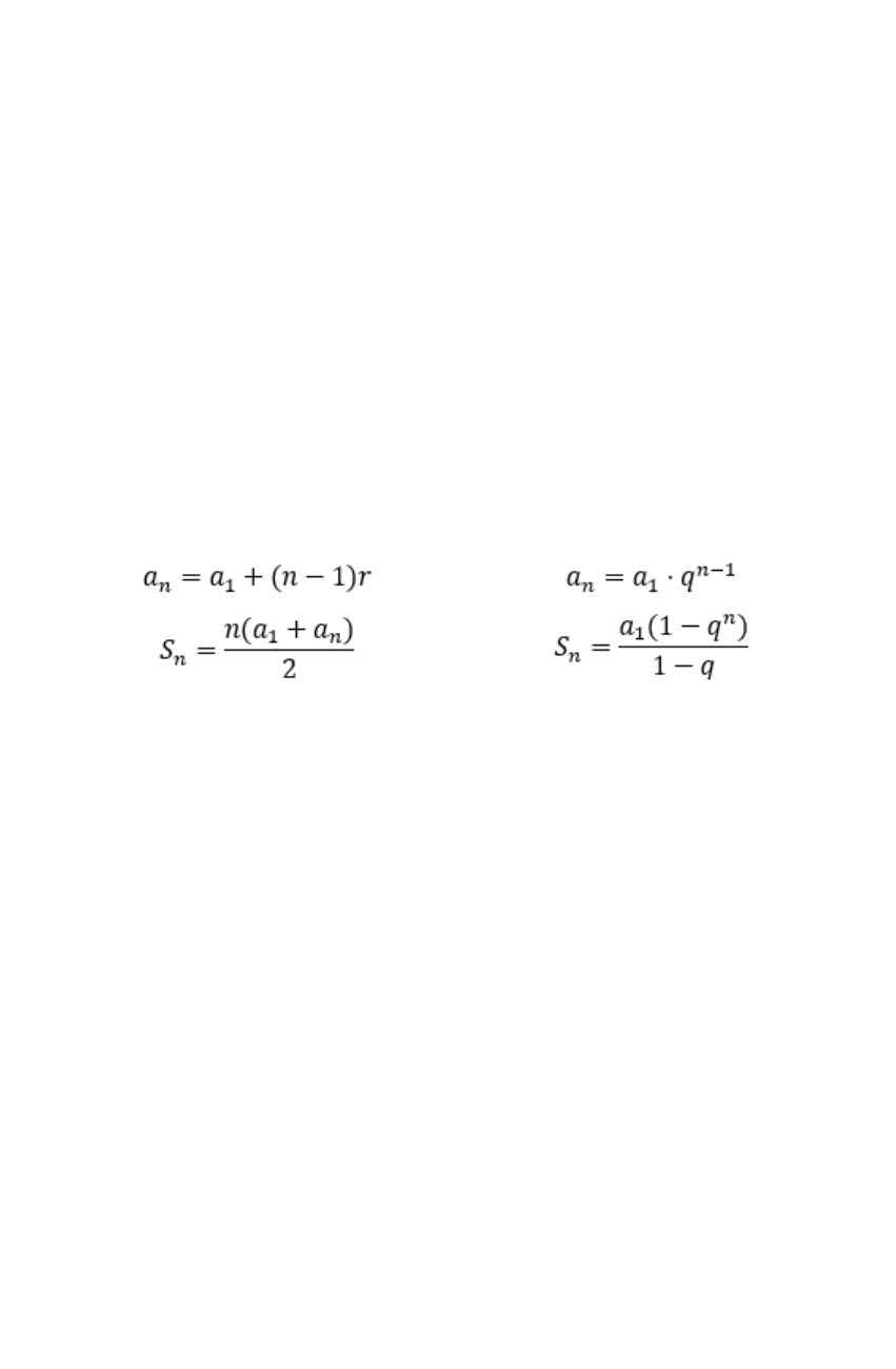
Questão 1
Um médico receitou a um de seus pacientes uma medicação, a qual deve ser ingerida semanalmente durante um período de 5 semanas. De acordo com a receita, o paciente deve ingerir essa medicação conforme uma progressão geométrica crescente, de tal forma que na primeira semana ele deve ingerir 32 mg do medicamento, enquanto que na terceira semana, esse paciente deve ingerir 72 mg desse mesmo medicamento.
Com base nessas informações, analise os itens a seguir, classificando-os como verdadeiros (V) ou falsos (F):
(  ) A quantidade total de medicamento ingerida pelo paciente durante esse tratamento será de 422 mg.
(  ) A quantidade de medicamento ingerida semanalmente envolve uma progressão geométrica de razão 2,25.
(  ) O paciente deverá ingerir 162 mg desse medicamento na última semana do tratamento.
Assinale a alternativa que indica todas as classificações corretamente:
Dados: fórmulas
Anexo - Consulte a imagem em melhor resolução no final do cadernos de questões.
A)
 
V – F – V.
B)
 
F – F – V.
C)
 
F – V – F.
D)
 
V – V – F.
E)
 
V – F – F.
Questão 2
Podemos estudar a pressão atmosférica em função da altitude, o que permite relacionar como se dá a pressão em diferentes regiões e os efeitos sobre o corpo humano e sobre os demais seres vivos.
Considere que nas proximidades da superfície terrestre a pressão atmosférica P, medida em atmosfera (atm), seja dada aproximadamente pela expressão:
com h representando a altitude, medida em quilômetros.
Com base nessas informações, se a pressão em determinada região é de 0,729 atm, o que podemos inferir a respeito da altitude dessa região?
A)
 
A altitude da região é de 5,5 quilômetros.
B)
 
A altitude da região é de 5,0 quilômetros.
C)
 
A altitude da região é de 4,0 quilômetros.
D)
 
A altitude da região é de 6,0 quilômetros.
E)
 
A altitude da região é de 3,0 quilômetros.
Questão 3
Com base nas relações trigonométricas, associe as expressões (indicadas por I, II e III) com as respectivas expressões equivalentes presentes (denotadas por A, B e C):
Assinale a alternativa que indica todas as associações corretamente:
Dados: fórmulas
Anexo - Consulte a imagem em melhor resolução no final do cadernos de questões.
A)
 
I – B; II – A; III – C.
B)
 
I – B; II – C; III – A.
C)
 
I – C; II – B; III – A.
D)
 
I – C; II – A; III – B.
E)
 
I – A; II – B; III – C.
Questão 4
Ao sair de carro de seu prédio, Matias utiliza uma rampa de acesso ao estacionamento de automóveis. Esta rampa faz um ângulo de 30° com o solo e, ao subi-la, seu carro desloca-se horizontalmente 8 m de distância, conforme a figura abaixo:
Com base nessas informações, qual é a altura dessa rampa?
A)
 
B)
 
C)
 
D)
 
E)
 
Questão 5
Uma universidade, localizada em uma cidade litorânea, apresenta um setor responsável por acompanhar as marés, prestando serviço para os departamentos da universidade que realizam investigações a respeito de problemas marinhos, bem como empresas que atuam nesse ramo, como empresas de transporte marítimo, por exemplo.
Após a realização de estudos, esse setor detectou que o fenômeno das marés seria periódico e descrito pela seguinte função:
em que t é o tempo, medido em horas, avaliado a partir do instante inicial da observação, tomado como t = 0, e P(t) corresponde à profundidade da água, em metros, no instante t.
Com base nessas informações, determine qual foi o tempo decorrido, desde o início da observação, até que fosse atingida a primeira maré baixa:
A)
 
6 horas após o instante t = 0.
B)
 
11 horas após o instante t = 0.
C)
 
5 horas após o instante t = 0.
D)
 
3 horas após o instante t = 0.
E)
 
9 horas após o instante t = 0.
Questão 6
Considere as seguintes razões trigonométricas, para ângulos em graus ou radianos com menos de uma volta completa, no sentido anti-horário:
Agora, associe as razões trigonométricas (denotadas por 1, 2 e 3) com seus respectivos resultados (indicados a seguir por I, II e III):
I. 
II. 
III. 
Assinale a alternativa que apresenta todas as associações corretamente:
Dados: fórmulas
Anexo - Consulte a imagem em melhor resolução no final do cadernos de questões.
A)
 
I - 3; II - 1; III - 2.
B)
 
I - 2; II - 3; III - 1.
C)
 
I - 2; II - 1; III - 3.
D)
 
I - 1; II - 2; III - 3.
E)
 
I - 3; II - 2; III - 1.
Questão 7
Chama-se função logarítmica toda função tal que em que b é um número real, positivo e diferente de 1. Desta forma dado um número real qualquer b, temos: 
(a) para todo número real positivo x, existe um único número real y tal que e, 
(b) para todo número real y, existe um único número real positivo x tal que . 
O teorema descrito acima admite a inversa de uma função logaritmo e/ou exponencial. 
Com base nessas informações, determine a inversa da função
e, em seguida, assinale a alternativa que descreve a função inversa corretamente: 
A)
 
B)
 
C)
 
D)
 
E)
 
Questão 8
Suponha que um ciclista está realizando um treino voltado à participação em uma competição e que, diariamente, esse ciclista dedica-se ao treino durante 5 horas consecutivas.
Considere que na primeira hora de treino esse ciclista percorra 19 km, na segunda hora percorra 16 km e, assim por diante, em progressão aritmética, até finalizar seu treino diário.
A partir dessas informações, quantos quilômetros esse ciclista percorre em um dia, considerando que ele tenha completado as 5 horas de treino?
Dados: fórmulas
Anexo - Consulte a imagem em melhor resolução no final do cadernos de questões.
A)
 
40 quilômetros.
B)
 
95 quilômetros.
C)
 
65 quilômetros.
D)
 
70 quilômetros.
E)
 
35 quilômetros.
Questão 9
Seja a seguinte figura, a qual ilustra as retas r, s e t, paralelas entre si, bem como duas retas transversais a elas:
Suponha que a distância entre os pontos O e C seja de 4 unidades e que a distância entre os pontos O e D seja de 9 unidades.
Sabendo que a distância entre os pontos B e O corresponde ao quádruplo da distância entre os pontos A e O, assinale a alternativa correta:
A)
 
A distância entre os pontos B e O é de 6 unidades.
B)
 
A distância entre os pontos A e O é de 12 unidades.
C)
 
A distância entre os pontos A e O é de 3 unidades.
D)
 
A distância entre os pontos A e O é de 15 unidades.
E)
 
A distância entre os pontos B e O é de 14 unidades.
Questão 10
Seja o triângulo descrito na seguinte figura:
As medidas dos ângulos internos do triângulo MNP nos vértices P e N são, respectivamente, 50° e 70°. Além disso, temos que a distância entre os vértices P e M é de, aproximadamente, 25 cm.
Considerando as informações apresentadas e adotando as aproximações
assinale a alternativa que indica o perímetro aproximado para o triângulo PMN:
Dados: fórmulas
Anexo - Consulte a imagem em melhor resolução no final do cadernos de questões.
A)
 
O perímetro do triângulo é de, aproximadamente, 71,3 cm.
B)
 
O perímetro do triângulo é de, aproximadamente, 77,1 cm.
C)
 
O perímetro do triângulo é de, aproximadamente, 79,6 cm.
D)
 
O perímetro do triângulo é de, aproximadamente, 68,6 cm.
E)
 
O perímetro do triângulo é de, aproximadamente, 75,5 cm.
Questão 11
Podemos chamar de fórmulas de adição de arcos, as identidades que nos auxiliam em cálculos do seno, cosseno ou tangente da soma ou diferença de arcos trigonométricos. 
Assim considerando, o seno da soma e o cosseno da diferença, avalie a seguinte expressão:
 
A expressão apresentada, envolvendo seno e cosseno, é equivalente a qual das seguintes expressões?
Dados: fórmulas
Anexo - Consulte a imagem em melhor resolução no final do cadernos de questões.
A)
 
cos(x) – sen(x)
B)
 
sen(x) + cos(x)
C)
 
cos(x)
D)
 
sen(x) – cos(x)
E)
 
2 cos(x)
Questão 12
Uma unidade militar está testando novos radares para a detecção de misseis, entre outros equipamentos aéreos. Durante esse teste, suponha que um dos modelos de radares detectou a presença de um mesmo míssil a partir de dois pontos, B e C, o qual mantinha uma trajetória retilínea ao longo de todo o trajeto.
No instante em que detectou o míssil no ponto B, o registro do equipamento indica uma distância do míssil ao radar de 4 quilômetros, enquanto queem relação ao ponto C o registro foi de uma distância de 6 quilômetros. Além disso, a inclinação formada entre o radar e os pontos B e C é de 120°, conforme o esquema a seguir:
Com base nessas informações, qual foi a distância aproximada percorrida pelo míssil entre os pontos B e C?
Dados: fórmulas
Anexo - Consulte a imagem em melhor resolução no final do cadernos de questões.
A)
 
5,8 metros.
B)
 
7,2 metros.
C)
 
3,2 metros.
D)
 
8,7 metros.
E)
 
9,5 metros.
Questão 1
 
Um médico receitou a um de seus pacientes uma medicação, a qual deve ser ingerida 
semanalmente durante um período de 5 semanas. De acordo com a receita, o 
paciente deve ingerir essa medicação conforme uma progressão geométrica 
crescente, de tal forma que n
a primeira semana ele deve ingerir 32 mg do 
medicamento, enquanto que na terceira semana, esse paciente deve ingerir 72 mg 
desse mesmo medicamento.
 
Com base nessas informações, analise os itens a seguir, classificando
-
os como 
verdadeiros (V) ou falsos (F):
 
(
 
 
)
 
A quantidade total de medicamento ingerida pelo paciente durante esse 
tratamento será de 422 mg.
 
(
 
 
)
 
A quantidade de medicamento ingerida semanalmente envolve uma progressão 
geométrica de razão 2,25.
 
(
 
 
)
 
O paciente deverá ingerir 162 mg desse medic
amento na última semana do 
tratamento.
 
Assinale a alternativa que indica todas as classificações corretamente:
 
Dados: fórmulas
 
 
Anexo 
-
 
Consulte a imagem em melhor resolução no final do cadernos de questõ
es.
 
A)
 
 
 
V 
–
 
F 
–
 
V.
 
B)
 
 
 
F 
–
 
F 
–
 
V.
 
C)
 
 
 
F 
–
 
V 
–
 
F.
 
D)
 
 
 
V 
–
 
V 
–
 
F.
 
E)
 
 
 
V 
–
 
F 
–
 
F.
 
Questão 2
 
Questão 1 
Um médico receitou a um de seus pacientes uma medicação, a qual deve ser ingerida 
semanalmente durante um período de 5 semanas. De acordo com a receita, o 
paciente deve ingerir essa medicação conforme uma progressão geométrica 
crescente, de tal forma que na primeira semana ele deve ingerir 32 mg do 
medicamento, enquanto que na terceira semana, esse paciente deve ingerir 72 mg 
desse mesmo medicamento. 
Com base nessas informações, analise os itens a seguir, classificando-os como 
verdadeiros (V) ou falsos (F): 
( ) A quantidade total de medicamento ingerida pelo paciente durante esse 
tratamento será de 422 mg. 
( ) A quantidade de medicamento ingerida semanalmente envolve uma progressão 
geométrica de razão 2,25. 
( ) O paciente deverá ingerir 162 mg desse medicamento na última semana do 
tratamento. 
Assinale a alternativa que indica todas as classificações corretamente: 
Dados: fórmulas 
 
Anexo - Consulte a imagem em melhor resolução no final do cadernos de questões. 
A) 
 
V – F – V. 
B) 
 
F – F – V. 
C) 
 
F – V – F. 
D) 
 
V – V – F. 
E) 
 
V – F – F. 
Questão 2

Mais conteúdos dessa disciplina