Logo Passei Direto
Buscar

Ferramentas de estudo

Questões resolvidas

Em 2009, o mundo enfrentou uma epidemia, causada pelo vírus A(H1N1), que ficou conhecida como gripe suína. A descoberta do mecanismo de ação desse vírus permitiu o desenvolvimento de dois medicamentos para combater a infecção, por ele causada, e que continuam necessários, apesar de já existir e estar sendo aplicada a vacina contra esse vírus.
Examinando-se as fórmulas desses compostos, verifica-se que dois dos grupos funcionais que estão presentes no oseltamivir estão presentes também no zanamivir. Esses grupos são característicos de
a) amidas e éteres.
b) ésteres e alcoóis.
c) ácidos carboxílicos e éteres.
d) ésteres e ácidos carboxílicos.
e) amidas e alcoóis.

A tuberculose voltou a ser um problema de saúde em todo o mundo, devido ao aparecimento de bacilos que sofreram mutação genética (mutantes) e que se revelaram resistentes à maioria dos medicamentos utilizados no tratamento da doença.
Assim sendo, dentre as enzimas citadas, a que está ausente em tais bacilos deve ser a que transforma:
A substância A é a responsável pela inibição do crescimento das culturas.
O crescimento das culturas de bacilos mutantes é inibido por A ou C, mas não por B.
a) ésteres em ácidos carboxílicos.
b) amidas em ácidos carboxílicos.
c) ésteres em amidas.
d) amidas em cetonas.
e) cetonas em ésteres.

Em agosto de 2005 foi noticiada a apreensão de lotes de lidocaína que teriam causado a morte de diversas pessoas no Brasil, devido a problemas de fabricação. Este fármaco é um anestésico local muito utilizado em exames endoscópicos, diminuindo o desconforto do paciente.
Sua estrutura molecular está representada a seguir apresenta as funções:
a) amina secundária e amina terciária.
b) amida, amina terciária.
c) amida e éster.
d) éster e amina terciária.
e) éster e amina secundária.

Uma pastilha contendo 500mg de ácido ascórbico (vitamina C) foi dissolvida em um copo contendo 200 mL de água. Dadas as massas molares C = 12 g·mol–1, H = 1 g·mol–1 e O = 16 g·mol–1 e a fórmula molecular da vitamina C, C6H8O6.
A concentração da solução obtida é:
a) 0,0042 mol·L–1.
b) 0,0142 mol·L–1.
c) 2,5 mol·L–1.
d) 0,5 g·L–1.
e) 5,0 g·L–1.

O esteviosídeo, fórmula estrutural representada na figura, é um edulcorante natural extraído das folhas da estévia, uma planta latino americana.
As funções orgânicas existentes na estrutura dessa substância são:
a) álcool, aldeído e cetona.
b) álcool, aldeído e éter.
c) álcool, éter e éster.
d) aldeído, éster e cetona.
e) éter, éster e cetona.

O acido pentanoico (conhecido como acido valerico) e um liquido oleoso, com cheiro de queijo velho, tem aplicações como sedativo e hipnotico. Se aplicado diretamente na pele, tem uma efetiva ação sobre a acne.
De acordo com sua formula estrutural, seu isomero correto e o:
a) propanoato de etila.
b) etoxi-propano.
c) 3-metil-butanal.
d) pentan-2-ona.
e) propanoato de hexila.

Isomeria e o fenômeno de dois ou mais compostos apresentarem a mesma formula molecular, porém, formulas estruturais, e muitas vezes, propriedades muito diferentes.
Assinale a alternativa que traz o tipo de isomeria que ocorre entre estes dois compostos:
a) Isomeria de funcao.
b) Isomeria de cadeia.
c) Isomeria de posicao.
d) Isomeria tautomeria.
e) Isomeria geometrica.

Um determinado elemento químico A, pertence a família dos metais alcalinos terrosos, combinado com átomos de um elemento B, em seu estado fundamental, apresenta seus átomos com um total de 35 elétrons.
Você pode afirmar que a fórmula do composto resultante e o tipo de ligação química envolvida são, respectivamente:
a) AB e iônica.
b) AB2 e iônica.
c) AB2 e covalente.
d) AB e covalente.
e) A2B e iônica.

A combustão do gás amoníaco (NH3) é representada pela seguinte equação: 2 NH3(g) + 3/2 O2(g) → N2(g) + 3 H2O(ℓ).
A massa de água, em gramas, com rendimento de 90% obtida a partir de 89,6 L de gás amoníaco, nas CNTP, é igual a:
a) 6,4g.
b) 9,7g.
c) 10,8g.
d) 64,8g.
e) 97,2g.

Garimpeiros inexperientes, quando encontram pirita(FeS2), pensam estar diante de ouro, por isso, a pirita é chamada “ouro dos tolos”. Entretanto, a pirita não é um mineral sem aplicação. O H2SO4, ácido muito utilizado nos laboratórios de química, pode ser obtido a partir da pirita por meio do processo: 4FeS2 + 11O2 → 2Fe2O3 + 8SO2 2SO2 + O2 V2O5 → 2SO3 SO3 + H2O → H2SO4.
Qual é a alternativa que indica a massa de H2SO4, aproximada em gramas, obtida a partir de 40,0 kg de pirita, com 100% de pureza, por meio do processo equacionado anteriormente?
Dados: massa molar-> FeS2 = 120g/mol; H2SO4= 98g/mol.
a) 8,1g.
b) 65,3g.
c) 81g.
d) 653g.
e) 6530g.

A combustão incompleta de combustíveis fósseis produz monóxido de carbono(CO), um gás tóxico que, quando inalado, penetra nos pulmões, reduzindo a capacidade do sangue de transportar oxigênio através do corpo, pois o complexo formado com a hemoglobina é mais estável que o formado com o oxigênio.
Admitindo que a reação: 2 CO(g) + O2(g) → 2 CO2(g) é completa, qual a massa de CO2 formado quando a reação quando 5,0 mols de monóxido de carbono reagem com 6,0 mols de oxigênio em um recipiente fechado?
Dados: C = 12 e O = 16.
a) 2,2.
b) 11.
c) 22.
d) 110.
e) 220.

Material
páginas com resultados encontrados.
páginas com resultados encontrados.
left-side-bubbles-backgroundright-side-bubbles-background

Crie sua conta grátis para liberar esse material. 🤩

Já tem uma conta?

Ao continuar, você aceita os Termos de Uso e Política de Privacidade

left-side-bubbles-backgroundright-side-bubbles-background

Crie sua conta grátis para liberar esse material. 🤩

Já tem uma conta?

Ao continuar, você aceita os Termos de Uso e Política de Privacidade

left-side-bubbles-backgroundright-side-bubbles-background

Crie sua conta grátis para liberar esse material. 🤩

Já tem uma conta?

Ao continuar, você aceita os Termos de Uso e Política de Privacidade

left-side-bubbles-backgroundright-side-bubbles-background

Crie sua conta grátis para liberar esse material. 🤩

Já tem uma conta?

Ao continuar, você aceita os Termos de Uso e Política de Privacidade

left-side-bubbles-backgroundright-side-bubbles-background

Crie sua conta grátis para liberar esse material. 🤩

Já tem uma conta?

Ao continuar, você aceita os Termos de Uso e Política de Privacidade

left-side-bubbles-backgroundright-side-bubbles-background

Crie sua conta grátis para liberar esse material. 🤩

Já tem uma conta?

Ao continuar, você aceita os Termos de Uso e Política de Privacidade

left-side-bubbles-backgroundright-side-bubbles-background

Crie sua conta grátis para liberar esse material. 🤩

Já tem uma conta?

Ao continuar, você aceita os Termos de Uso e Política de Privacidade

left-side-bubbles-backgroundright-side-bubbles-background

Crie sua conta grátis para liberar esse material. 🤩

Já tem uma conta?

Ao continuar, você aceita os Termos de Uso e Política de Privacidade

Questões resolvidas

Em 2009, o mundo enfrentou uma epidemia, causada pelo vírus A(H1N1), que ficou conhecida como gripe suína. A descoberta do mecanismo de ação desse vírus permitiu o desenvolvimento de dois medicamentos para combater a infecção, por ele causada, e que continuam necessários, apesar de já existir e estar sendo aplicada a vacina contra esse vírus.
Examinando-se as fórmulas desses compostos, verifica-se que dois dos grupos funcionais que estão presentes no oseltamivir estão presentes também no zanamivir. Esses grupos são característicos de
a) amidas e éteres.
b) ésteres e alcoóis.
c) ácidos carboxílicos e éteres.
d) ésteres e ácidos carboxílicos.
e) amidas e alcoóis.

A tuberculose voltou a ser um problema de saúde em todo o mundo, devido ao aparecimento de bacilos que sofreram mutação genética (mutantes) e que se revelaram resistentes à maioria dos medicamentos utilizados no tratamento da doença.
Assim sendo, dentre as enzimas citadas, a que está ausente em tais bacilos deve ser a que transforma:
A substância A é a responsável pela inibição do crescimento das culturas.
O crescimento das culturas de bacilos mutantes é inibido por A ou C, mas não por B.
a) ésteres em ácidos carboxílicos.
b) amidas em ácidos carboxílicos.
c) ésteres em amidas.
d) amidas em cetonas.
e) cetonas em ésteres.

Em agosto de 2005 foi noticiada a apreensão de lotes de lidocaína que teriam causado a morte de diversas pessoas no Brasil, devido a problemas de fabricação. Este fármaco é um anestésico local muito utilizado em exames endoscópicos, diminuindo o desconforto do paciente.
Sua estrutura molecular está representada a seguir apresenta as funções:
a) amina secundária e amina terciária.
b) amida, amina terciária.
c) amida e éster.
d) éster e amina terciária.
e) éster e amina secundária.

Uma pastilha contendo 500mg de ácido ascórbico (vitamina C) foi dissolvida em um copo contendo 200 mL de água. Dadas as massas molares C = 12 g·mol–1, H = 1 g·mol–1 e O = 16 g·mol–1 e a fórmula molecular da vitamina C, C6H8O6.
A concentração da solução obtida é:
a) 0,0042 mol·L–1.
b) 0,0142 mol·L–1.
c) 2,5 mol·L–1.
d) 0,5 g·L–1.
e) 5,0 g·L–1.

O esteviosídeo, fórmula estrutural representada na figura, é um edulcorante natural extraído das folhas da estévia, uma planta latino americana.
As funções orgânicas existentes na estrutura dessa substância são:
a) álcool, aldeído e cetona.
b) álcool, aldeído e éter.
c) álcool, éter e éster.
d) aldeído, éster e cetona.
e) éter, éster e cetona.

O acido pentanoico (conhecido como acido valerico) e um liquido oleoso, com cheiro de queijo velho, tem aplicações como sedativo e hipnotico. Se aplicado diretamente na pele, tem uma efetiva ação sobre a acne.
De acordo com sua formula estrutural, seu isomero correto e o:
a) propanoato de etila.
b) etoxi-propano.
c) 3-metil-butanal.
d) pentan-2-ona.
e) propanoato de hexila.

Isomeria e o fenômeno de dois ou mais compostos apresentarem a mesma formula molecular, porém, formulas estruturais, e muitas vezes, propriedades muito diferentes.
Assinale a alternativa que traz o tipo de isomeria que ocorre entre estes dois compostos:
a) Isomeria de funcao.
b) Isomeria de cadeia.
c) Isomeria de posicao.
d) Isomeria tautomeria.
e) Isomeria geometrica.

Um determinado elemento químico A, pertence a família dos metais alcalinos terrosos, combinado com átomos de um elemento B, em seu estado fundamental, apresenta seus átomos com um total de 35 elétrons.
Você pode afirmar que a fórmula do composto resultante e o tipo de ligação química envolvida são, respectivamente:
a) AB e iônica.
b) AB2 e iônica.
c) AB2 e covalente.
d) AB e covalente.
e) A2B e iônica.

A combustão do gás amoníaco (NH3) é representada pela seguinte equação: 2 NH3(g) + 3/2 O2(g) → N2(g) + 3 H2O(ℓ).
A massa de água, em gramas, com rendimento de 90% obtida a partir de 89,6 L de gás amoníaco, nas CNTP, é igual a:
a) 6,4g.
b) 9,7g.
c) 10,8g.
d) 64,8g.
e) 97,2g.

Garimpeiros inexperientes, quando encontram pirita(FeS2), pensam estar diante de ouro, por isso, a pirita é chamada “ouro dos tolos”. Entretanto, a pirita não é um mineral sem aplicação. O H2SO4, ácido muito utilizado nos laboratórios de química, pode ser obtido a partir da pirita por meio do processo: 4FeS2 + 11O2 → 2Fe2O3 + 8SO2 2SO2 + O2 V2O5 → 2SO3 SO3 + H2O → H2SO4.
Qual é a alternativa que indica a massa de H2SO4, aproximada em gramas, obtida a partir de 40,0 kg de pirita, com 100% de pureza, por meio do processo equacionado anteriormente?
Dados: massa molar-> FeS2 = 120g/mol; H2SO4= 98g/mol.
a) 8,1g.
b) 65,3g.
c) 81g.
d) 653g.
e) 6530g.

A combustão incompleta de combustíveis fósseis produz monóxido de carbono(CO), um gás tóxico que, quando inalado, penetra nos pulmões, reduzindo a capacidade do sangue de transportar oxigênio através do corpo, pois o complexo formado com a hemoglobina é mais estável que o formado com o oxigênio.
Admitindo que a reação: 2 CO(g) + O2(g) → 2 CO2(g) é completa, qual a massa de CO2 formado quando a reação quando 5,0 mols de monóxido de carbono reagem com 6,0 mols de oxigênio em um recipiente fechado?
Dados: C = 12 e O = 16.
a) 2,2.
b) 11.
c) 22.
d) 110.
e) 220.

Prévia do material em texto

CONVÊNIO 
Questões de química – 2º simulado- 
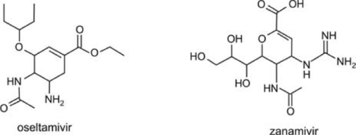
1. (FUVEST 2011) – Em 2009, o mundo enfrentou uma epidemia, causada pelo 
vírus A(H1N1), que ficou conhecida como gripe suína. A descoberta do 
mecanismo de ação desse vírus permitiu o desenvolvimento de dois 
medicamentos para combater a infecção, por ele causada, e que continuam 
necessários, apesar de já existir e estar sendo aplicada a vacina contra esse 
vírus. As fórmulas estruturais dos princípios ativos desses medicamentos são: 
 
 
 
Examinando-se as fórmulas desses compostos, verifica-se que dois dos grupos 
funcionais que estão presentes no oseltamivir estão presentes também no 
zanamivir. Esses grupos são característicos de: 
 
a) amidas e éteres. d) ésteres e ácidos carboxílicos. 
b) ésteres e álcoois. e) amidas e álcoois. 
c) ácidos carboxílicos e éteres. 
 
2. A tuberculose voltou a ser um problema de saúde em todo o mundo, devido ao 
aparecimento de bacilos que sofreram mutação genética (mutantes) e que se 
revelaram resistentes à maioria dos medicamentos utilizados no tratamento da 
doença. Atualmente, há doentes infectados por bacilos mutantes e por bacilos 
não- -mutantes. Algumas substâncias (A, B e C) inibem o crescimento das 
culturas de bacilos não-mutantes. Tais bacilos possuem uma enzima que 
transforma B em A e outra que transforma C em A. Acredita-se que A seja a 
substância responsável pela inibição do crescimento das culturas. 
Excelente pra revisão enem 
 
 
 
 
 
 
 
O crescimento das culturas de bacilos mutantes é inibido por A ou C, mas não 
por B. Assim sendo, dentre as enzimas citadas, a que está ausente em tais 
bacilos deve ser a que transforma 
a) ésteres em ácidos carboxílicos. 
b) amidas em ácidos carboxílicos. 
c) ésteres em amidas. 
d) amidas em cetonas. 
e) cetonas em ésteres. 
 
 
 
 
 
 
3. (VUNESP 2006) – Em agosto de 2005 foi noticiada a apreensão de lotes de 
lidocaína que teriam causado a morte de diversas pessoas no Brasil, devido a 
problemas de fabricação. Este fármaco é um anestésico local muito utilizado em 
exames endoscópicos, diminuindo o desconforto do paciente. Sua estrutura 
molecular está representada a seguir 
 
apresenta as funções: 
a) amina secundária e amina terciária. d) éster e amina terciária. 
b) amida, amina terciária. e) éster e amina secundária. 
c) amida e éster. 
 
4. Uma pastilha contendo 500mg de ácido ascórbico (vitamina C) foi dissolvida em um 
copo contendo 200 mL de água. Dadas as massas molares C = 12 g·mol–1, H = 1 g·mol–1 
e O = 16 g·mol–1e a fórmula molecular da vitamina C, C6H8O6 a concentração da 
solução obtida é: 
a) 0,0042 mol·L–1. 
b) 0,0142 mol·L–1. 
 c) 2,5 mol·L–1. 
d) 0,5 g·L–1. 
e) 5,0 g·L–1. 
 
 
5. O esteviosídeo, fórmula estrutural representada na figura, é um edulcorante natural 
extraído das folhas da estévia, uma planta latino americana. 
 
 
 
As funções orgânicas existentes na estrutura dessa substância são: 
a) álcool, aldeído e cetona. 
b) álcool, aldeído e éter. 
c) álcool, éter e éster. 
d) aldeído, éster e cetona. 
e) éter, éster e cetona. 
 
 
6. Os gases que afetam o sistema nervoso são substâncias que atuam inibindo a enzima 
acetilcolinesterase. Quando o gás neurotóxico é inalado, todos os músculos se 
contraem sem parar e acabam estrangulando os pulmões e o coração. Observe a 
seguir as fórmulas estruturais de dois gases dos nervos: 
 
 
Sobre os dois compostos apresentados, podemos afirmar que: 
a) ambos apresentam a função amida. 
b) são isômeros. 
c) o composto II apresenta 23 átomos de hidrogênio em sua molécula. 
d) a função éter aparece nas duas estruturas. 
e) as duas cadeias carbônicas são homogêneas. 
 
 
 
 
7. (UECE) O acido pentanoico (conhecido como acido valerico) e um liquido oleoso, 
com cheiro de queijo velho, tem aplicações como sedativo e hipnotico. Se 
aplicado diretamente na pele, tem uma efetiva ação sobre a acne. 
 
 
 
De acordo com sua formula estrutural, seu isomero correto e o: 
 
a) propanoato de etila. 
b) etoxi-propano. 
c) 3-metil-butanal. 
d) pentan-2-ona. 
e) propanoato de hexila 
 
 
8. Questão 08 - (UNIFOR CE) Isomeria e o fenômeno de dois ou mais compostos 
apresentarem a mesma formula molecular, porém, formulas estruturais, e 
muitas vezes, propriedades muito diferentes. Por exemplo, os isômeros 
limoneno e β-felandreno (mostrados abaixo), onde este último pode ser 
encontrado nas essências de diversas plantas, tais como o funcho, o anis e o 
eucalipto. Já o primeiro pode ser encontrado em frutas cítricas e tem se 
mostrado ativo contra alguns tipos de câncer em ratos. 
Assinale a alternativa que traz o tipo de isomeria que ocorre entre estes dois 
compostos: 
a) Isomeria de funcao. 
b) Isomeria de cadeia. 
c) Isomeria de posicao. 
d) Isomeria tautomeria 
e) Isomeria geometrica. 
 
9. (UNB) Examine a fórmula eletrônica do ácido fosfórico e indique a opção 
correta: 
 
a) O H3PO4 apresenta uma ligação covalente simples e seis ligações covalentes dativas. 
b) O H3PO4 apresenta seis ligações covalente simples e uma ligação covalentes dativas. 
c) O H3PO4 apresenta seis ligação π e uma ligação σ. 
d) O H3PO4 apresenta sete ligações covalente simples. 
e) O H3PO4 apresenta sete ligações covalente dativas. 
 
10 -Um determinado elemento químico A, pertence a família dos metais alcalinos 
terrosos, combinado com átomos de um elemento B, em seu estado fundamental, 
apresenta seus átomos com um total de 35 elétrons você pode afirmar que a fórmula do 
composto resultante e o tipo de ligação química envolvida são, respectivamente: 
a) AB e iônica. 
b) AB2 e iônica. 
c) AB2 e covalente. 
d) AB e covalente. 
e) A2B e iônica. 
 
11- O peróxido de hidrogênio é comumente utilizado como antisséptico e alvejante. 
Também pode ser empregado em trabalhos de restauração de quadros enegrecidos e 
no clareamento de dentes. Na presença de soluções ácidas de oxidantes, como o 
permanganato de potássio, este óxido decompõe-se, conforme a equação a seguir: 
 
De acordo com a estequiometria da reação descrita, a quantidade de sulfato de 
mangânes produzida a partir de 2mol de peróxido de hidrogênio com 80% de pureza é 
igual a 
a) 0,064 mol 
b) 0,08 mol 
c) 6,4.10-1 mol 
d) 8.10-1 mol 
e) 64 mol 
 
12- O gás Amoniaco serve de matéria-prima para um número elevado de aplicações. 
Ela é utilizada na fabricação de fertilizantes agrícolas, fibras e plásticos, de produtos de 
limpeza, de explosivos, entre outros. 
Veja mais em: https://educacao.uol.com.br/disciplinas/quimica/amonia-propriedades-e-usos.htm?cmpid=copiaecola 
 
A combustão do gás amoníaco (NH3) é representada pela seguinte equação: 
2 NH3(g) + 3/2 O2(g) → N2(g) + 3 H2O(ℓ) 
A massa de água, em gramas, com rendimento de 90% obtida a partir de 89,6 L de gás 
amoníaco, nas CNTP, é igual a: 
https://educacao.uol.com.br/disciplinas/quimica/amonia-propriedades-e-usos.htm?cmpid=copiaecola
(Dados: massa molar (g/mol) – H2O = 18; volume molar nas CNTP = 22,4 L.) 
a) 6,4g 
b) 9,7g 
c) 10,8g 
d) 64,8g 
e) 97,2g 
 
13- Garimpeiros inexperientes, quando encontram pirita(FeS2), pensam estar diante de 
ouro, por isso, a pirita é chamada “ouro dos tolos”. Entretanto, a pirita não é um mineral 
sem aplicação. O H2SO4, ácido muito utilizado nos laboratórios de química, pode ser 
obtido a partir da pirita por meio do processo: 
4FeS2 + 11O2 → 2Fe2O3 + 8SO2 
2SO2 + O2 
V2O5
→ 2SO3 
SO3 + H2O → H2SO4 
Qual é a alternativa que indica a massa de H2SO4, aproximada em gramas, obtida a 
partir de 40,0 kg de pirita, com 100% de pureza, por meio do processo equacionado 
anteriormente? 
Dados: massa molar-> FeS2 = 120g/mol; H2SO4= 98g/mol. 
a) 8,1g 
b) 65,3g 
c) 81g 
d) 653g 
e) 6530g 
 
14- (UFAL) A combustão incompleta de combustíveis fósseis produz monóxido de 
carbono(CO), um gás tóxico que, quando inalado, penetra nos pulmões, reduzindo a 
capacidade dosangue de transportar oxigênio através do corpo, pois o complexo 
formado com a hemoglobina é mais estável que o formado com o oxigênio. Admitindo 
que a reação: 
2 CO(g) + O2(g) → 2 CO2(g) 
é completa, qual a massa de CO2 formado quando a reação quando 5,0 mols de 
monóxido de carbono reagem com 6,0 mols de oxigênio em um recipiente fechado? 
Dados: C = 12 e O = 16 
a) 2,2 
b) 11 
c) 22 
d) 110 
e) 220 
15- Analise a proposição de alguns elementos na Classificação Periódica (Tabela A) e 
suas tendências em formarem ligações químicas (Tabela B), como especificado abaixo: 
 
 
A única opção que relaciona corretamente o elemento químico e sua característica, 
quando ocorre a ligação possível, é: 
a) 1D, 2A, 3C, 4F. 
b) 1D, 2B, 3A, 4F. 
c) 1D, 2F, 3E, 4C. 
d) 1D, 2B, 3A, 4E. 
e) 1D, 2F, 3A, 4C.

Mais conteúdos dessa disciplina