Logo Passei Direto
Buscar

Ferramentas de estudo

Questões resolvidas

De acordo com a ABNT NBR 5.626, peça de utilização é um “componente na posição a jusante do sub-ramal que, através de sua operação (abrir e fechar), permite a utilização de água [...]” (ABNT, 1998, p. 5).
Com relação às peças de utilização e os sub-ramais, assinale a alternativa que apresenta um conceito adequado sobre o uso e dimensionamento destes elementos.
Deve-se evitar mudanças bruscas de direção e de seção de escoamento próximas à região de obturação das peças de utilização, uma vez que favorecem a cavitação.
Deve-se evitar mudanças bruscas de direção e de seção de escoamento próximas à região de obturação das peças de utilização, uma vez que favorecem a cavitação.

Com relação às exigências das instalações de drenagem de águas pluviais apresentadas pela ABNT NBR 10.844:1989, analise as afirmativas a seguir:
Ser estanque;
Não provocar ruídos excessivos;
Tratar a água da chuva com baixa potabilidade;
Recolher a vazão de projeto e conduzir até locais permitidos pelos dispositivos legais.
I, II e IV.
I, II e III.
I, III e IV.
II, III e IV.

Considerando os dois tipos de estimativa para consumo de água em edificações, analise as afirmativas a seguir.
As instalações dimensionadas para atender o consumo máximo possível, nunca serão de menor porte do que as instalações dimensionadas para o consumo máximo provável.
É possível, em algum momento, que em um banheiro público com 20 aparelhos sanitários todos estejam sendo usados. Porém, é pouco provável.
O consumo máximo possível é determinado por teorias estatísticas.
A norma ABNT NBR 5.626:1998 afirma que, por questões econômicas, é usual estabelecer um consumo máximo provável de água menor que o máximo possível.
I, II e IV.
I, II e III.
I, III e IV.
II, III e IV.

Material
páginas com resultados encontrados.
páginas com resultados encontrados.
left-side-bubbles-backgroundright-side-bubbles-background

Crie sua conta grátis para liberar esse material. 🤩

Já tem uma conta?

Ao continuar, você aceita os Termos de Uso e Política de Privacidade

left-side-bubbles-backgroundright-side-bubbles-background

Crie sua conta grátis para liberar esse material. 🤩

Já tem uma conta?

Ao continuar, você aceita os Termos de Uso e Política de Privacidade

left-side-bubbles-backgroundright-side-bubbles-background

Crie sua conta grátis para liberar esse material. 🤩

Já tem uma conta?

Ao continuar, você aceita os Termos de Uso e Política de Privacidade

left-side-bubbles-backgroundright-side-bubbles-background

Crie sua conta grátis para liberar esse material. 🤩

Já tem uma conta?

Ao continuar, você aceita os Termos de Uso e Política de Privacidade

left-side-bubbles-backgroundright-side-bubbles-background

Crie sua conta grátis para liberar esse material. 🤩

Já tem uma conta?

Ao continuar, você aceita os Termos de Uso e Política de Privacidade

left-side-bubbles-backgroundright-side-bubbles-background

Crie sua conta grátis para liberar esse material. 🤩

Já tem uma conta?

Ao continuar, você aceita os Termos de Uso e Política de Privacidade

left-side-bubbles-backgroundright-side-bubbles-background

Crie sua conta grátis para liberar esse material. 🤩

Já tem uma conta?

Ao continuar, você aceita os Termos de Uso e Política de Privacidade

left-side-bubbles-backgroundright-side-bubbles-background

Crie sua conta grátis para liberar esse material. 🤩

Já tem uma conta?

Ao continuar, você aceita os Termos de Uso e Política de Privacidade

left-side-bubbles-backgroundright-side-bubbles-background

Crie sua conta grátis para liberar esse material. 🤩

Já tem uma conta?

Ao continuar, você aceita os Termos de Uso e Política de Privacidade

left-side-bubbles-backgroundright-side-bubbles-background

Crie sua conta grátis para liberar esse material. 🤩

Já tem uma conta?

Ao continuar, você aceita os Termos de Uso e Política de Privacidade

Questões resolvidas

De acordo com a ABNT NBR 5.626, peça de utilização é um “componente na posição a jusante do sub-ramal que, através de sua operação (abrir e fechar), permite a utilização de água [...]” (ABNT, 1998, p. 5).
Com relação às peças de utilização e os sub-ramais, assinale a alternativa que apresenta um conceito adequado sobre o uso e dimensionamento destes elementos.
Deve-se evitar mudanças bruscas de direção e de seção de escoamento próximas à região de obturação das peças de utilização, uma vez que favorecem a cavitação.
Deve-se evitar mudanças bruscas de direção e de seção de escoamento próximas à região de obturação das peças de utilização, uma vez que favorecem a cavitação.

Com relação às exigências das instalações de drenagem de águas pluviais apresentadas pela ABNT NBR 10.844:1989, analise as afirmativas a seguir:
Ser estanque;
Não provocar ruídos excessivos;
Tratar a água da chuva com baixa potabilidade;
Recolher a vazão de projeto e conduzir até locais permitidos pelos dispositivos legais.
I, II e IV.
I, II e III.
I, III e IV.
II, III e IV.

Considerando os dois tipos de estimativa para consumo de água em edificações, analise as afirmativas a seguir.
As instalações dimensionadas para atender o consumo máximo possível, nunca serão de menor porte do que as instalações dimensionadas para o consumo máximo provável.
É possível, em algum momento, que em um banheiro público com 20 aparelhos sanitários todos estejam sendo usados. Porém, é pouco provável.
O consumo máximo possível é determinado por teorias estatísticas.
A norma ABNT NBR 5.626:1998 afirma que, por questões econômicas, é usual estabelecer um consumo máximo provável de água menor que o máximo possível.
I, II e IV.
I, II e III.
I, III e IV.
II, III e IV.

Prévia do material em texto

Curso 30793 INSTALAÇÕES HIDROSSANITÁRIAS UnP1-28743BAS71A22 -
202110.1005555.04
Teste ATIVIDADE 2 (A2)
Iniciado 22/04/21 18:55
Enviado 28/04/21 21:37
Status Completada
Resultado da
tentativa
10 em 10 pontos  
Tempo decorrido 146 horas, 42 minutos
Resultados exibidos Respostas enviadas, Respostas corretas, Comentários
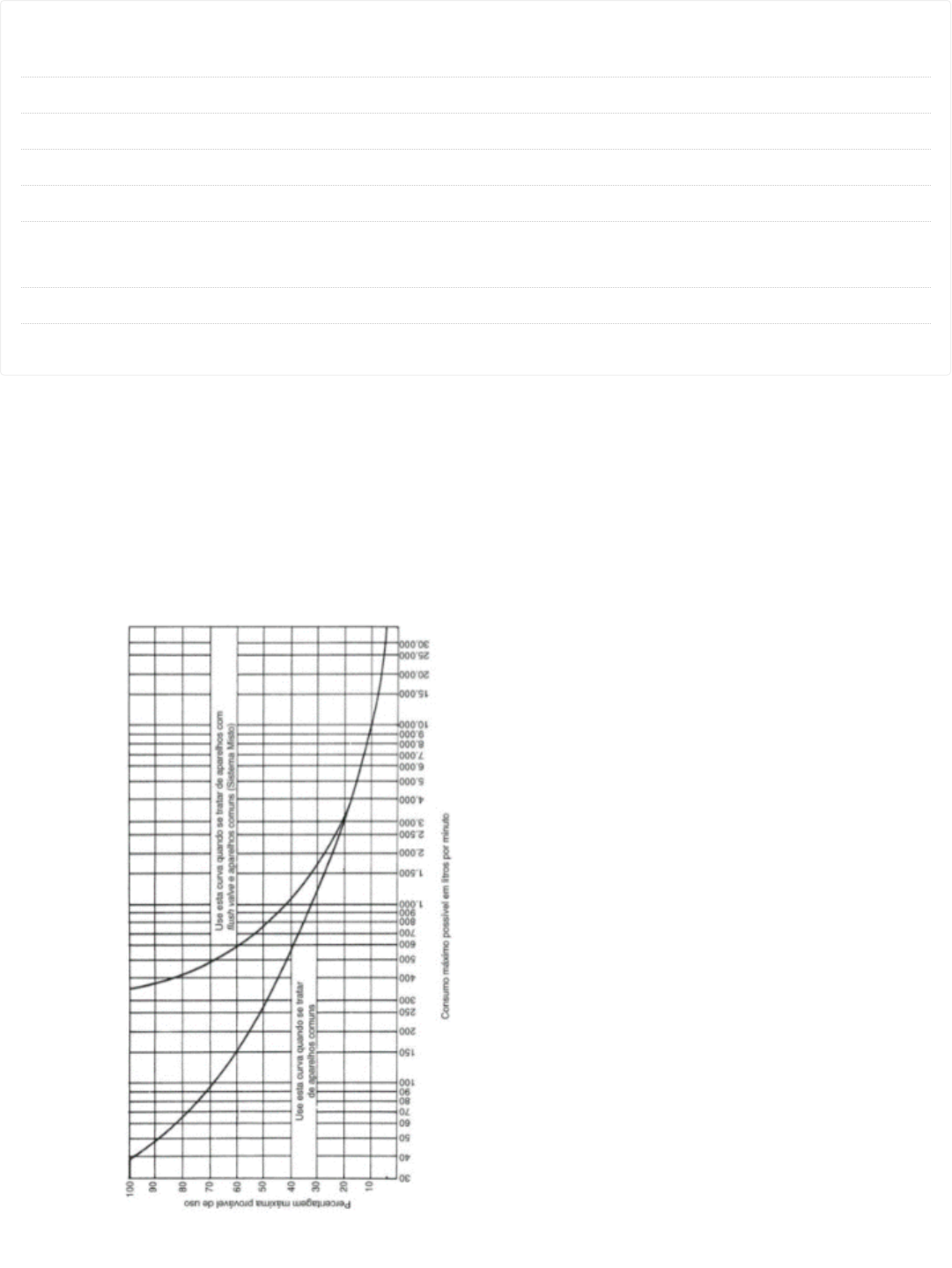
Pergunta 1
Da Estatística sabemos que quanto maior for o número de combinações possíveis, menor é a
probabilidade de ocorrência de um evento. Considere então uma universidade que possui em um
de seus pavimentos, um banheiro masculino com 30 cabines (bacias sanitárias) e 30 mictórios
comuns. Considere também a relação entre o consumo máximo possível e a probabilidade
máxima de uso simultâneo, apresentada por Creder (2016).
Figura 1 - Relação entre o consumo máximo possível e a probabilidade máxima de uso
1 em 1 pontos
Firefox https://unp.blackboard.com/webapps/assessment/review/review.jsp?atte...
1 of 11 28/04/2021 21:39
Resposta
Selecionada:
Resposta
Correta:
Comentário da
resposta:
Fonte: CREDER, Hélio. Instalações hidráulicas e sanitárias. 6. ed. Rio de Janeiro: LTC, 2016, p. 13.
Sabendo que a vazão de projeto para mictório e bacia sanitária é de 0,3 L/s, assinale a alternativa
correta.
O grande decaimento da probabilidade de os aparelhos sanitários estarem
funcionando juntos se dá, especialmente, para a vazão de até 3000 L/min.
Após isso, as probabilidades são tão baixas que o aumento de vazão já não
impacta tanto na diminuição da probabilidade.
O grande decaimento da probabilidade de os aparelhos sanitários
estarem funcionando juntos se dá, especialmente, para a vazão de
até 3000 L/min. Após isso, as probabilidades são tão baixas que o
aumento de vazão já não impacta tanto na diminuição da
probabilidade.
Resposta correta. A alternativa está correta, pois percebe-se que após um
certo consumo de água, a relação com a probabilidade de ocorrência é
quase linear, aproximando-se de uma assíntota horizontal (eixo x).
Pergunta 2
Você, engenheiro civil, é contratado para realizar um projeto para um sistema de água quente de
uma residência de alto padrão, onde habitam 7 pessoas. Por se tratar de um condomínio
horizontal, a residência deve possuir um sistema autônomo que atenda toda a casa. A tabela a
seguir, apresenta alguns dados para o dimensionamento.
Consumo de Água Quente nos Edifícios, em Função do Número de Pessoas
Tipo do
Edifício
Água
Quente
Necessária,
a 60°
Consumo
nas
Ocasiões de
Pico (1/h)
Duração do
Pico – Horas
de Carga
Capacidade
de
Reservatório
em Função
do Consumo
Diário
Capacidade
Horária de
Aquecimento,
em Função do
Uso Diário
Residência
Apartamentos
Hotéis
501 por
pessoa, por
dia
1/7 4 1/5 1/7
Edifícios de
escritórios
2,5 por
pessoa, por
dia
1/5 2 1/5 1/6
1 em 1 pontos
Firefox https://unp.blackboard.com/webapps/assessment/review/review.jsp?atte...
2 of 11 28/04/2021 21:39
Resposta Selecionada:
Resposta Correta:
Comentário da
resposta:
Fábricas 6,3 1 por
pessoa
1/3 1 2/5 1/8
Restaurante
3.ª classe
2.ªclasse 1.ª
classe
1,9 1 por
refeição 3,2 1
por refeição
5,6 1 por
refeição.
1/10 1/10
Restaurante –
3 refeições
por dia
1/10 8 1/5 1/10
Restaurante –
1 refeição por
dia
1/5 2 2/5 1/6
Tabela - Consumo de Água Quente nos Edifícios, em Função do Número de Pessoas
Fonte: CREDER, Hélio. Instalações hidráulicas e sanitárias. 6. ed. Rio de Janeiro: LTC, 2016, p. 81.
Desejando-se projetar o sistema para uma variação máxima de temperatura de 40ºC em uma
hora e sabendo que
em que:
●     Q é a quantidade de energia demandada pelo aquecedor, em kcal;
●     q é a capacidade horária de aquecimento, em L/h;
●    é a variação máxima de temperatura, em ºC;
●     o rendimento do aquecedor é de 50% e que 1 kWh  800 kcal.
Desse modo, é correto a�rmar que a capacidade do reservatório de água destinado ao
aquecimento e a potência do aquecedor serão, respectivamente, de:
70 L e 5 kWh.
70 L e 5 kWh.
Resposta correta. A alternativa é correta, pois:
●     Se existem 7 pessoas na residência:
:
●     A capacidade horária de aquecimento é:
●     A capacidade do reservatório para o aquecimento deve ser de 20%
do volume total diário consumido, ou:
●     Para elevar a água em 40ºC em uma hora, será necessária uma
energia de:
Firefox https://unp.blackboard.com/webapps/assessment/review/review.jsp?atte...
3 of 11 28/04/2021 21:39
●     Considerando um rendimento de 70% para o sistema:
●     Sabendo que 1 kWh  800 kcal, temos que:
Portanto, a resposta é 70 L e 5 kWh.
Pergunta 3
Resposta
Selecionada:
Resposta
Correta:
Comentário da
resposta:
De acordo com a ABNT NBR 5.626, peça de utilização é um “componente na posição a jusante do
sub-ramal que, através de sua operação (abrir e fechar), permite a utilização de água [...]” (ABNT,
1998, p. 5).
ASSOCIAÇÃO BRASILEIRA DE NORMAS TÉCNICAS. NBR 5.626: instalação predial de água fria. Rio
de Janeiro, 1998.
Com relação às peças de utilização e os sub-ramais, assinale a alternativa que apresenta um
conceito adequado sobre o uso e dimensionamento destes elementos.
Deve-se evitar mudanças bruscas de direção e de seção de escoamento
próximas à região de obturação das peças de utilização, uma vez que
favorecem a cavitação.
Deve-se evitar mudanças bruscas de direção e de seção de
escoamento próximas à região de obturação das peças de
utilização, uma vez que favorecem a cavitação.
Resposta correta. A alternativa está correta, pois mudanças de direção, de
seção de escoamento, além de pressões baixas ou negativas, propiciam a
cavitação nas instalações de água predial, fenômeno que causa o ruído
incômodo para os usuários do edifício.
Pergunta 4
Em estruturas, existem as vigas e os pilares. As vigas (horizontais) recebem as cargas da laje. Os
pilares (verticais), recebem as cargas das vigas. Fazendo um paralelo com o sistema hidráulico
predial, a “estrutura” das tubulações consiste, basicamente, em sub-ramais e ramais (horizontal) e
colunas de distribuição (vertical). Em grandes edifícios, as colunas de distribuição podem chegar a
dezenas ou, até mesmo, centenas de metros de comprimento.
1 em 1 pontos
1 em 1 pontos
Firefox https://unp.blackboard.com/webapps/assessment/review/review.jsp?atte...
4 of 11 28/04/2021 21:39
Resposta Selecionada:
Resposta Correta:
Comentário
da resposta:
A respeito das colunas de distribuição em instalações prediais de água fria, analise as a�rmativas
a seguir e assinale V para a(s) Verdadeira(s) e F para a(s) Falsa(s).
I. ( ) É recomendado o emprego de registros de fechamento na coluna de distribuição,
posicionado a montante do primeiro ramal.
II. ( ) Recomenda-se a ventilação de coluna de distribuição de distribuição.
III. ( ) Por questão de otimização e economia, é possível seccionar a coluna de distribuição em
partes e de�nir o diâmetro da tubulação de cada parte em função da vazão a jusante.
Assinale a alternativa que apresenta a sequência correta.
V, V, V.
V, V, V.
Resposta correta.  A sequência está correta. Assim como para ramais, é
recomendado o posicionamento de um registro de fechamento na coluna de
distribuição, a montante do primeiro ramal. Além disso, é recomendado a
ventilação da coluna de distribuição, para evitar cavitação nos pontos mais
altos da coluna.
Pergunta 5
Após o volume de chuva chegar à área de contribuição (cobertura), escoar para uma calha e, mais
uma vez, pela calha, é necessário que se dimensione um elemento que faça o deslocamento da
água da chuva de um nível superior para o nível do solo. Posteriormente, após mais algumas
etapas, esta água será escoada para o sistema de coleta de água pluvial público.
A respeito do dimensionamento de condutos verticais de água pluvial, analise as a�rmativas a
seguir e assinale V para a(s) Verdadeira(s) e F para a(s) Falsa(s). 
(  ) Os condutores verticais devem ser projetados, sempre que possível, em
uma só prumada. Quando houver necessidade de desvio, devem ser usadas
curvas de 90º ou 45º de raio longo.
(  ) Os condutores verticais devemsempre ser colocados externamente ao
edifício, independentemente do uso e da ocupação do edifício e do material
dos condutores.
(  ) O diâmetro interno mínimo dos condutores verticais de seção circular é
50mm.
( ) É possível fazer a inserção de condutos verticais em pilares, caso
necessário, desde que isso seja devidamente analisado e verificado por
projetista, considerando também as recomendações das normas de projeto e
1 em 1 pontos
Firefox https://unp.blackboard.com/webapps/assessment/review/review.jsp?atte...
5 of 11 28/04/2021 21:39
Resposta Selecionada:
Resposta Correta:
Comentário
da resposta:
execução estrutural.
Assinale a alternativa que apresenta a sequência correta.
V, F, F, V.
V, F, F, V.
Resposta correta. A alternativa está correta, pois os condutores verticais
devem ser projetados para que, sempre que possível, estejam em uma só
prumada. Além disso, é possível (mas não usual) a execução de pilares
externando condutores verticais. Isso deve, no entanto, ser feito avaliando as
características estruturais do pilar, veri�cando sua resistência e capacidade,
em função do espaço interno utilizado pelo conduto.
Pergunta 6
Em um apartamento, por exemplo, com cozinha e lavanderia integrada,
normalmente os aparelhos sanitários são posicionados do mesmo lado do
ambiente, de modo que um único ramal atenda aos componentes. Segundo a
norma, ramal é a “tubulação derivada da coluna de distribuição e destinada a
alimentar os sub-ramais” (ABNT, 1998, p. 5).
ASSOCIAÇÃO BRASILEIRA DE NORMAS TÉCNICAS. NBR 5.626 : instalação
predial de água fria. Rio de Janeiro, 1998.
Considerando o componente ramal em instalações hidráulicas prediais de água fria,
analise as afirmativas a seguir.
I. O posicionamento de uma maior quantidade de peças de utilização de um lado do
ambiente uniformiza o projeto, especialmente em grandes edifícios, além de
viabilizar que uma coluna de distribuição apenas abasteça estes aparelhos
sanitários.
II. Recomenda-se que os ramais sejam posicionados de modo inclinado, facilitando
o escoamento de água pela gravidade.
III. Recomenda-se, para possibilitar a manutenção, a instalação de registro de
fechamento no ramal, posicionado a montante do primeiro sub-ramal.
IV. No dimensionamento de ramais, pela norma ABNT NBR 5.626:1998,
recomenda-se a utilização do método dos pesos para quantificar a vazão máxima
provável.
1 em 1 pontos
Firefox https://unp.blackboard.com/webapps/assessment/review/review.jsp?atte...
6 of 11 28/04/2021 21:39
Resposta Selecionada:
Resposta Correta:
Comentário
da resposta:
Está correto o que se afirma em:
I, III e IV.
I, III e IV.
Resposta correta. A alternativa está correta, pois é rotineiro o posicionamento
das peças de utilização de um lado do ambiente, especialmente em
apartamentos. Além disso, a norma recomenda o registro de fechamento
instalado no ramal, sendo posicionado a montante do primeiro sub-ramal,
para que todas as peças de utilização sejam abrangidas.
Pergunta 7
Para sistemas de aquecimento residencial ou central, é viável que se dimensione um reservatório com um
volume de água utilizado especialmente para o aquecimento. Chamamos este tipo de aquecimento por
acumulação, onde um aquecedor aumenta a temperatura antes ou durante o estágio de acúmulo e, então, a
água já sai para os ramais e peças de utilização em uma temperatura superior à do ambiente. Considere o
dimensionamento de um reservatório para acúmulo de água quente para as instalações sanitárias dos
quartos de um hotel.
Consumo de Água Quente nos Edifícios, em Função do Número de Aparelhos, em Litros por Hora, a
60ºC.
Aparelhos Apt.
º
Clubes Ginásios Hospitais Hotéis Fábricas Escritórios Residências Escolas
Lavatório
privado
2,6 2,6 2,6 2,6 2,6 2,6 2,6 2,6 2,6
Lavatório
público
5,2 7,8 10,4 7,8 10,4 15,6 7,8 _ 19,5
Banheiras 26 26 39 26 26 39 _ 26 _
Lavador de
pratos
19,5 65 _ 65 65 26 _ 19,5 26
Lava-pés 3,9 3,9 15,6 3,9 3,9 15,6 _ 3,9 3,9
Pia de
cozinha
13 26 _ 26 26 26 _ 13 13
Tanque de
lavagem
26 36,4 _ 36,4 36,4 36,4 _ 26
Pia de copa 6,5 13 _ 13 13 _ _ 6,5 13
1 em 1 pontos
Firefox https://unp.blackboard.com/webapps/assessment/review/review.jsp?atte...
7 of 11 28/04/2021 21:39
Resposta Selecionada:
Resposta Correta:
Comentário da
resposta:
Chuveiros 97,5 195 292 97,5 97,5 292 _ 97,5 292
Consumo
máximo
provável %
30 30 10 25 25 40 30 30 40
Capacidade
do
reservatório
%
125 90 100 60 80 100 200 70 100
Tabela  - Consumo de Água Quente nos Edifícios, em Função do Número de Aparelhos, em Litros por Hora, a
60ºC
Fonte: CREDER, Hélio. Instalações hidráulicas e sanitárias. 6. ed. Rio de Janeiro: LTC, 2016, p. 82.
Sabe-se que neste hotel existem 40 quartos, cada qual com um lavatório e um chuveiro. Considerando os
dados de consumo provável de água quente nos edifícios e que a capacidade do reservatório é produto da
percentagem apresentada pela tabela e o valor do consumo máximo provável, é correto a�rmar que a
capacidade mínima do reservatório deverá ser de, aproximadamente:
800 L.
800 L.
Resposta correta. A alternativa está correta, pois:
●     O consumo total será:
●     40 lavatórios x 2,6 L/h = 104 L/h
●     40 chuveiros x 97,5 L/h = 3900 L/h
●     3900 L/h + 104 L/h  4000 L/h
●     O consumo máximo provável para apartamentos é de 25% do consumo máximo
possível:
●     A capacidade de um reservatório de água quente para abastecer apartamentos
deve ser de 125% a vazão horária provável:
Portanto, para este hotel, o reservatório de acumulação para aquecimento de água
quente deverá ser dimensionado para um volume de, no mínimo, 800 L.
Pergunta 8
A norma ABNT NBR 7.198:1993, aplica-se às instalações de água em uma edi�cação que
transporta água para consumo humano que está acima da temperatura ambiente, mas com
temperatura máxima de 70ºC.
1 em 1 pontos
Firefox https://unp.blackboard.com/webapps/assessment/review/review.jsp?atte...
8 of 11 28/04/2021 21:39
Resposta Selecionada:
Resposta Correta:
Comentário
da resposta:
ASSOCIAÇÃO BRASILEIRA DE NORMAS TÉCNICAS. NBR 7.198: projeto e execução de instalações
prediais de água quente. Rio de Janeiro, 1993
Com relação às considerações gerais para o projeto e dimensionamento das instalações prediais
de água quente de�nidas pela normativa, analise as a�rmativas a seguir.
Deve-se garantir o fornecimento de água contínuo, em quantidade suficiente
e em temperatura controlável.
Deve-se preservar a potabilidade da água
Deve-se considerar o sistema mais complexo possível, não sendo necessário
a racionalização do consumo de energia.
Não é necessário, nos projetos de sistemas de água quente, avaliar e
dimensionar instalações hidráulicas pensando no nível de conforto aos
usuários.
Está correto o que se a�rma em:
I e II.
I e II.
Resposta correta. A alternativa está correta, pois a norma indica que se deve,
assim como nas outras etapas da distribuição da água, garantir o
fornecimento contínuo, com quantidade su�ciente e possibilidade de controle
da temperatura da água. Além disso, a qualidade da água deve ser
preservada também nas instalações prediais de água quente.
Pergunta 9
A norma ABNT NBR 10.844:1989 “aplica-se à drenagem de águas pluviais em coberturas e demais
áreas associadas ao edifício, tais como terraços, pátios, quintais e similares.” (ABNT, 1989, p.1). A
norma, no entanto, não se aplica aos casos que exijam bocas-de-lobo e galerias, devendo ser
consideradas outras normas ou estudos técnicos.
ASSOCIAÇÃO BRASILEIRA DE NORMAS TÉCNICAS. NBR 10.844: instalações prediais de água
pluvial. Rio de Janeiro, 1989.
Com relação às exigências das instalações de drenagem de águas pluviais apresentadas pela
ABNT NBR 10.844:1989, analise as a�rmativas a seguir:
Ser estanque;
Não provocar ruídos excessivos;
1 em 1 pontos
Firefox https://unp.blackboard.com/webapps/assessment/review/review.jsp?atte...
9 of 11 28/04/2021 21:39
Resposta Selecionada:
Resposta Correta:
Comentário da
resposta:
Tratar a água da chuva com baixa potabilidade;
Recolher a vazãode projeto e conduzir até locais permitidos pelos
dispositivos legais.
Com relação às exigências das instalações de drenagem, está correto o que se a�rma em:
I, II e IV.
I, II e IV.
Resposta correta. A alternativa está correta, pois a norma a�rma que são
algumas das exigências das instalações de drenagem de águas pluviais: ser
estanque; não provocar ruídos excessivos; e recolher e conduzir a vazão de
projeto até os locais permitidos.
Pergunta 10
O termo probabilidade está relacionado diretamente à Estatística, pois nos remete à uma
estimativa matemática de ocorrência de um evento. Já a possibilidade, é a certeza de que esse
mesmo evento, em um universo de condições, pode ocorrer. Assim, a sequência lógica de
perguntas que fazemos normalmente são: é possível acontecer esse evento? Se sim, qual é a
probabilidade? Nesse mesmo princípio é que se desenvolve o dimensionamento de instalações
prediais de água fria.
Considerando os dois tipos de estimativa para consumo de água em edi�cações, analise as
a�rmativas a seguir.
As instalações dimensionadas para atender o consumo máximo possível,
nunca serão de menor porte do que as instalações dimensionadas para o
consumo máximo provável.
É possível, em algum momento, que em um banheiro público com 20
aparelhos sanitários todos estejam sendo usados. Porém, é pouco provável.
O consumo máximo possível é determinado por teorias estatísticas.
A norma ABNT NBR 5.626:1998 afirma que, por questões econômicas, é
usual estabelecer um consumo máximo provável de água menor que o
máximo possível.
Está correto o que se a�rma em:
1 em 1 pontos
Firefox https://unp.blackboard.com/webapps/assessment/review/review.jsp?atte...
10 of 11 28/04/2021 21:39
Quarta-feira, 28 de Abril de 2021 21h38min17s BRT
Resposta Selecionada:
Resposta Correta:
Comentário
da resposta:
I, II e IV.
I, II e IV.
Resposta correta. A alternativa está correta, pois a condição de consumo
máximo é a que dimensiona, no máximo, as instalações hidráulicas. Além
disso, em um universo de possibilidades, é possível que em um banheiro com
20 aparelhos sanitários todos estejam sendo utilizados ao mesmo tempo.
Porém, a probabilidade de ocorrência desse evento, num todo, é baixa.
Firefox https://unp.blackboard.com/webapps/assessment/review/review.jsp?atte...
11 of 11 28/04/2021 21:39

Mais conteúdos dessa disciplina