Logo Passei Direto
Buscar

Exercícios 2 - Cálculo Diferencial Integral a Várias Variáveis

Ferramentas de estudo

Questões resolvidas

A integração definida permite, além de calcular o valor total de grandezas físicas, calcular a área de uma região específica definida por um determinado conjunto de curvas.
Considerando o texto e os conteúdos do livro-base Cálculo diferencial e integral a várias variáveis, o valor da área de uma superfície cônica gerada pela revolução do segmento de reta dado pela equação y=4x, no intervalo fechado [0,2], em torno do eixo das abscissas é dada por:
A 16π
B 16π√17 u.a.
C √17 u.a.
D √17π u.a.
E 2√17 u.a.

Considere a região R delimitada pela reta y=x+2 e pela parábola y=x2.
O valor da área de R é
A 52u.a.
B 132u.a.
C 29u.a.
D 92u.a.
E 72u.a.

Considerando o livro-base Cálculo diferencial e integral de várias variáveis, a alternativa que corresponde ao valor da área da região R limitada pelas curvas y=x2 e y=√x, do gráfico a seguir, é
A 13u.a.
B 23u.a.
C 43u.a.
D 53u.a.
E 73u.a.

A operação de derivada parcial permite encontrar a derivada de uma função de várias variáveis em relação a uma de suas outras funções. A estratégia para o cálculo é considerar todas as outras variáveis como constantes e aplicar as regras de derivação como habitualmente.
Assinale a alternativa correta que corresponde às derivadas parciais da função f(x,y,z)=3x2+4xy−3zy.
A ∂f∂x=6x+4y;∂f∂y=4x−3z;∂f∂z=−3y.
B ∂f∂x=2x+5z;∂f∂y=−3y−2z;∂f∂z=−2x.
C ∂f∂x=5x−2y;∂f∂y=2x+5y;∂f∂z=3x.
D ∂f∂x=2y+5z;∂f∂y=x−z;∂f∂z=−y.
E ∂f∂x=x+4;∂f∂y=x+y;∂f∂z=z.

A função da derivada parcial em relação a um valor xi é a derivada de f em relação a xi uma vez que admitamos todas as outras variáveis como constantes.
Considere a função: f(x,y,z) = 3x + 5y -6z. De acordo com os conteúdos da Aula 3 - Tema: Derivadas parciais, ao calcular as derivadas parciais da função acima, obtemos:
A fx = 3; fy = 5; fz = -6.
B fx = -3; fy = -5; fz = -6.
C fx = 5; fy = 3; fz = 6.
D fx = 6; fy = 5; fz = -3.
E fx = -6; fy = 5; fz = 3.

Material
páginas com resultados encontrados.
páginas com resultados encontrados.
left-side-bubbles-backgroundright-side-bubbles-background

Crie sua conta grátis para liberar esse material. 🤩

Já tem uma conta?

Ao continuar, você aceita os Termos de Uso e Política de Privacidade

left-side-bubbles-backgroundright-side-bubbles-background

Crie sua conta grátis para liberar esse material. 🤩

Já tem uma conta?

Ao continuar, você aceita os Termos de Uso e Política de Privacidade

left-side-bubbles-backgroundright-side-bubbles-background

Crie sua conta grátis para liberar esse material. 🤩

Já tem uma conta?

Ao continuar, você aceita os Termos de Uso e Política de Privacidade

left-side-bubbles-backgroundright-side-bubbles-background

Crie sua conta grátis para liberar esse material. 🤩

Já tem uma conta?

Ao continuar, você aceita os Termos de Uso e Política de Privacidade

left-side-bubbles-backgroundright-side-bubbles-background

Crie sua conta grátis para liberar esse material. 🤩

Já tem uma conta?

Ao continuar, você aceita os Termos de Uso e Política de Privacidade

left-side-bubbles-backgroundright-side-bubbles-background

Crie sua conta grátis para liberar esse material. 🤩

Já tem uma conta?

Ao continuar, você aceita os Termos de Uso e Política de Privacidade

left-side-bubbles-backgroundright-side-bubbles-background

Crie sua conta grátis para liberar esse material. 🤩

Já tem uma conta?

Ao continuar, você aceita os Termos de Uso e Política de Privacidade

left-side-bubbles-backgroundright-side-bubbles-background

Crie sua conta grátis para liberar esse material. 🤩

Já tem uma conta?

Ao continuar, você aceita os Termos de Uso e Política de Privacidade

left-side-bubbles-backgroundright-side-bubbles-background

Crie sua conta grátis para liberar esse material. 🤩

Já tem uma conta?

Ao continuar, você aceita os Termos de Uso e Política de Privacidade

left-side-bubbles-backgroundright-side-bubbles-background

Crie sua conta grátis para liberar esse material. 🤩

Já tem uma conta?

Ao continuar, você aceita os Termos de Uso e Política de Privacidade

Questões resolvidas

A integração definida permite, além de calcular o valor total de grandezas físicas, calcular a área de uma região específica definida por um determinado conjunto de curvas.
Considerando o texto e os conteúdos do livro-base Cálculo diferencial e integral a várias variáveis, o valor da área de uma superfície cônica gerada pela revolução do segmento de reta dado pela equação y=4x, no intervalo fechado [0,2], em torno do eixo das abscissas é dada por:
A 16π
B 16π√17 u.a.
C √17 u.a.
D √17π u.a.
E 2√17 u.a.

Considere a região R delimitada pela reta y=x+2 e pela parábola y=x2.
O valor da área de R é
A 52u.a.
B 132u.a.
C 29u.a.
D 92u.a.
E 72u.a.

Considerando o livro-base Cálculo diferencial e integral de várias variáveis, a alternativa que corresponde ao valor da área da região R limitada pelas curvas y=x2 e y=√x, do gráfico a seguir, é
A 13u.a.
B 23u.a.
C 43u.a.
D 53u.a.
E 73u.a.

A operação de derivada parcial permite encontrar a derivada de uma função de várias variáveis em relação a uma de suas outras funções. A estratégia para o cálculo é considerar todas as outras variáveis como constantes e aplicar as regras de derivação como habitualmente.
Assinale a alternativa correta que corresponde às derivadas parciais da função f(x,y,z)=3x2+4xy−3zy.
A ∂f∂x=6x+4y;∂f∂y=4x−3z;∂f∂z=−3y.
B ∂f∂x=2x+5z;∂f∂y=−3y−2z;∂f∂z=−2x.
C ∂f∂x=5x−2y;∂f∂y=2x+5y;∂f∂z=3x.
D ∂f∂x=2y+5z;∂f∂y=x−z;∂f∂z=−y.
E ∂f∂x=x+4;∂f∂y=x+y;∂f∂z=z.

A função da derivada parcial em relação a um valor xi é a derivada de f em relação a xi uma vez que admitamos todas as outras variáveis como constantes.
Considere a função: f(x,y,z) = 3x + 5y -6z. De acordo com os conteúdos da Aula 3 - Tema: Derivadas parciais, ao calcular as derivadas parciais da função acima, obtemos:
A fx = 3; fy = 5; fz = -6.
B fx = -3; fy = -5; fz = -6.
C fx = 5; fy = 3; fz = 6.
D fx = 6; fy = 5; fz = -3.
E fx = -6; fy = 5; fz = 3.

Prévia do material em texto

Questão 1/10 - Cálculo Diferencial Integral a Várias Variáveis
Leia o texto a seguir:
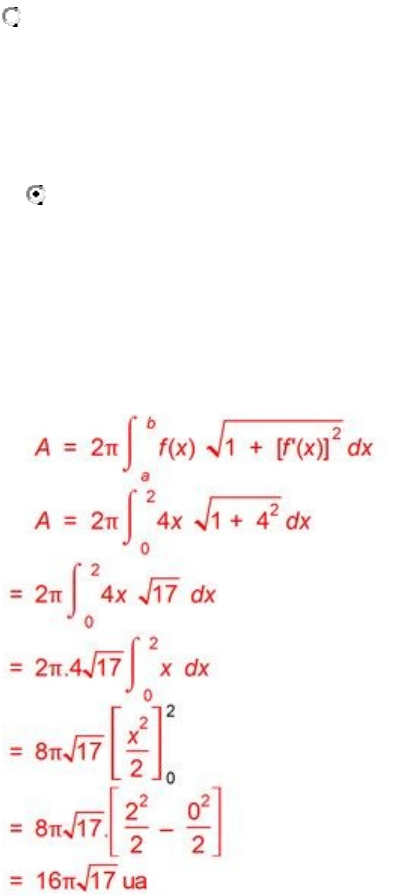
A integração definida permite, além de calcular o valor total de grandezas físicas, calcular a área de uma região específica definida por um determinado conjunto de curvas.
Fonte: Texto elaborado pelo autor da questão.
Considerando o texto e os conteúdos do livro-base Cálculo diferencial e integral a várias variáveis, o valor da área de uma superfície cônica gerada pela revolução do segmento de reta dado pela equação y=4x
, no intervalo fechado [0,2]
, em torno do eixo das abscissas é dada por:
Nota: 10.0
	
	A
	16π
	
	
	B
	16π
√17
	 u.a.
Você acertou!
(Conteúdo livro-base: RODRIGUES, A. C. D; SILVA, A. R. H. S. Cálculo diferencial e integral de várias variáveis. Curitiba: InterSaberes, 2016.)
	
	C
	√17
	 u.a.
	
	D
	√17π
	 u.a.
	
	E
	2√17
	 u.a.
Questão 2/10 - Cálculo Diferencial Integral a Várias Variáveis
Leia o texto:
As técnicas de integração podem ser utilizadas para uma ampla gama de aplicações. As aplicações mais conhecidas são aquelas referentes ao cálculo da área abaixo de uma determinada curva. Entretanto, a extensão dessa operação envolve também o cálculo de grandezas físicas, o cálculo do comprimento de arco e também o cálculo de volume de sólidos.
Fonte: Texto elaborado pelo autor da questão.
Com base no texto acima e nos conteúdos discutidos no livro-base Cálculo diferencial e integral a várias variáveis, calcule o valor da área de uma superfície cônica gerada pela revolução do segmento de reta dado pela equação y=3x+2
no intervalo fechado [0,2] em torno do eixo das abscissas e assinale a alternativa que corresponde a esse valor.
Nota: 10.0
	
	A
	25π√20u.a.
	
	
	B
	20π√10u.a.
Você acertou!
Solução:
A=2π∫20y(x)√1+[y′(x)]2dx=2π∫20(3x+2)√1+32dx=2π√10∫20(3x+2)dxA=2π√103(3x+22)2∣∣∣20=π√103[(3⋅2+2)2−4]=60π√103=20π√10u.a.
	
livro-base p. 15-20
	
	C
	22π√12u.a.
	
	
	D
	23π√13u.a.
	
	
	E
	21π√15u.a.
	
Questão 3/10 - Cálculo Diferencial Integral a Várias Variáveis
Leia a seguinte passagem de texto:
O processo de integração determinado para uma única variável pode ser generalizado para múltiplas variáveis, gerando as técnicas de integração para integral dupla, integral tripla, integral vetorial e tantas outras técnicas.
Fonte: Texto elaborado pelo autor da questão.
Considerando a passagem de texto e o livro-base Cálculo Diferencial e Integral a várias variáveis, marque a alternativa que indica o valor correto para a integral dupla dada por:
   
Nota: 10.0
	
	A
	6
	
	B
	10
	
	C
	12
Você acertou!
	
	D
	15
	
	E
	16
Questão 4/10 - Cálculo Diferencial Integral a Várias Variáveis
Considerando o livro-base Cálculo diferencial e integral de várias variáveis, a respeito da sequência an=3+7n2n+n2
, pode-se afirmar que:
Nota: 10.0
	
	A
	é convergente com limite 3.
	
	B
	é convergente com limite 7.
Você acertou!
Observamos que limn→+∞an=limn→+∞3+7n2n2n+n2n2=limn→+∞3n2+71n+1=71=7.
	
Logo, podemos afirmar que a sequência é convergente com limite igual a 7. (livro-base, p. 104-105)
	
	C
	é convergente com limite 10.
	
	D
	é divergente.
	
	E
	é convergente com limite infinito.
Questão 5/10 - Cálculo Diferencial Integral a Várias Variáveis
Considerando o livro-base Cálculo diferencial e integral de várias variáveis, qual a lei de formação da sequência dos números ímpares (n), sendo que n é um número natural diferente de zero?
Nota: 0.0
	
	A
	an = 2n
	
	B
	an = 2n + 1
	
	C
	an = n + 1
	
	D
	an = 2n – 1
A sequência dos números ímpares é 1, 3, 5, 7, 9, ....
Como n começa em 1, pelo enunciado, para a alternativa a) teremos 2.1 = 2 (o primeiro número ímpar é 1); para a alternativa b) teremos 2.1+ 1 = 3; para a alternativa c) teremos 1 + 1 = 2; na alternativa e) teremos 1-1 = 0.
Já para a alternativa d), a correta, temos: 2.1 – 1 = 1. Continuando a sequência, 2.2 – 1 = 3 e assim, sucessivamente. Desta forma, obtemos a sequência dos números ímpares.
livro-base p. 101-102
	
	E
	an = n - 1
Questão 6/10 - Cálculo Diferencial Integral a Várias Variáveis
Considere a região R
delimitada pela reta y=x+2 e pela parábola y=x2, conforme a figura abaixo:
O valor da área de R é
Nota: 10.0
	
	A
	52u.a.
	
	
	B
	132u.a.
	
	
	C
	29u.a.
	
	
	D
	92u.a.
Você acertou!
A área da região R
pode ser obtida a partir da integral dupla: ∬R1dA. 
Inicialmente, observamos que R={(x,y)∈R2; −1≤x≤2 e x2≤y≤x+2}. Assim,
A=∫2−1∫x+2x21dydx=∫2−1(x+2−x2)dx=[x22+2x−x33]2−1=(2+4−83)−(12−2+13)=92u.a.
	
	
	E
	72u.a.
	
Questão 7/10 - Cálculo Diferencial Integral a Várias Variáveis
Leia o texto:
As técnicas de integração podem ser utilizadas para uma ampla gama de aplicações. As aplicações mais conhecidas são aquelas referentes ao cálculo da área abaixo de uma determinada curva. Entretanto, a extensão dessa operação envolve também o cálculo de grandezas físicas, o cálculo do comprimento de arco e também o cálculo de volume de sólidos.
Fonte: Texto elaborado pelo autor da questão.
O gráfico abaixo representa a área da região R
limitada pela curva y=x2 e pela reta x
. 
Considerando o texto acima e os conteúdos explorados no livro-base Cálculo Diferencial e Integral a várias variáveis, indique a alternativa que determina a área delimitada pela curva e pela reta do gráfico acima.
Nota: 10.0
	
	A
	
	
	B
	
	
	C
	1
	
	D
	2
	
	E
	
Você acertou!
Questão 8/10 - Cálculo Diferencial Integral a Várias Variáveis
Considerando o livro-base Cálculo diferencial e integral de várias variáveis, a alternativa que corresponde ao valor da área da região R limitada pelas curvas y=x2
e y=√x
, do gráfico a seguir, é
Nota: 10.0
	
	A
	13u.a.
Você acertou!
Solução:
A=∫10∫√xx2dydx=∫10y∣∣∣√xx2dx=∫10(√x−x2)dx=23x3/2−x33∣∣∣10=23−13=13u.a.
	
Fonte: livro-base: RODRIGUES, A. C. D; SILVA, A. R. H. S. Cálculo diferencial e integral de várias variáveis. Curitiba: Intersaberes, 2016. p. 54-59
	
	B
	23u.a.
	
	
	C
	43u.a.
	
	
	D
	53u.a.
	
	
	E
	73u.a.
	
Questão 9/10 - Cálculo Diferencial Integral a Várias Variáveis
Leia a seguinte passagem do texto:
"A operação de derivada parcial permite encontrar a derivada de uma função de várias variáveis em relação a uma de suas outras funções. A estratégia para o cálculo é considerar todas as outras variáveis como constantes e aplicar as regras de derivação como habitualmente."
Texto elaborado pelo autor.
Após esta avaliação, caso queira ler o texto integralmente, ele está disponível em:  RODRIGUES, A. C. D; SILVA, A. R. H. S. Cálculo diferencial e integral de várias variáveis. Curitiba: InterSaberes, 2016, p. 80.
Assinale a alternativa correta que corresponde às derivadas parciais da função f(x,y,z)=3x2+4xy−3zy.
.
Nota: 10.0
	
	A
	∂f∂x=6x+4y;∂f∂y=4x−3z;∂f∂z=−3y.
Você acertou!
Calculamos a derivada parcial separadamente em relação a cada variável. Assim,
∂∂x(3x2+4xy−3zy)=6x+4y;∂∂y(3x2+4xy−3zy)=4x−3z;∂∂z(3x2+4xy−3zy)=−3y.
	
	
	B
	∂f∂x=2x+5z;∂f∂y=−3y−2z;∂f∂z=−2x
	
	
	C
	∂f∂x=5x−2y;∂f∂y=2x+5y;∂f∂z=3x
	
	
	D
	∂f∂x=2y+5z;∂f∂y=x−z;∂f∂z=−y
	
	
	E
	∂f∂x=x+4;∂f∂y=x+y;∂f∂z=z
	
Questão 10/10 - Cálculo Diferencial Integral a Várias Variáveis
Leia o trecho a seguir:
A função da derivada parcial em relação a um valor xi
é a derivada de f em relação a xi
uma vez que admitamos todas as outras variáveis como constantes.
Após esta avaliação, caso queira ler o texto integralmente, ele está disponível em:  RODRIGUES, A. C. D; SILVA, A. R. H. S. Cálculo diferencial e integral de várias variáveis. Curitiba: InterSaberes, 2016, p. 80.
Considere a função:  f(x,y,z) = 3x + 5y -6z. De acordo com os conteúdos da Aula 3 - Tema: Derivadas parciais, ao calcular as derivadas parciais da função acima, obtemos:
Nota: 10.0
	
	A
	fx = 3; fy = 5;   fz = -6
Você acertou!
Calculamos a derivada separadamente em relação a cada variável.
De acordo com a vídeo aula:
Observar cada termo separadamente Aplicar as regras de derivação para a variável de análise As demais variáveis são consideradas constantes
(Vídeo aula 3).
	
	B
	fx = -3; fy = -5;fz = -6
	
	C
	fx = 5; fy = 3; fz = 6
	
	D
	fx = 6; fy = 5; fz = -3
	
	E
	fx = -6; fy = 5; fz = 3

Mais conteúdos dessa disciplina