Logo Passei Direto
Buscar
Material
páginas com resultados encontrados.
páginas com resultados encontrados.
left-side-bubbles-backgroundright-side-bubbles-background

Experimente o Premium!star struck emoji

Acesse conteúdos dessa e de diversas outras disciplinas.

Libere conteúdos
sem pagar

Ajude estudantes e ganhe conteúdos liberados!

left-side-bubbles-backgroundright-side-bubbles-background

Experimente o Premium!star struck emoji

Acesse conteúdos dessa e de diversas outras disciplinas.

Libere conteúdos
sem pagar

Ajude estudantes e ganhe conteúdos liberados!

left-side-bubbles-backgroundright-side-bubbles-background

Experimente o Premium!star struck emoji

Acesse conteúdos dessa e de diversas outras disciplinas.

Libere conteúdos
sem pagar

Ajude estudantes e ganhe conteúdos liberados!

Prévia do material em texto

Trabalho 1 de Matemática – Professores Giovana e Santana – Março 2019 
1. Calcule os pares de expressões a seguir, observando o papel dos parênteses 
a) 10 + 6 x 12 – 8 : 2 e (10 + 6) x (12 – 8) : 2 b) 38 – 6 x 4 – 28 : 2 e [(38 - 6) x 4 – 28] : 2 
 
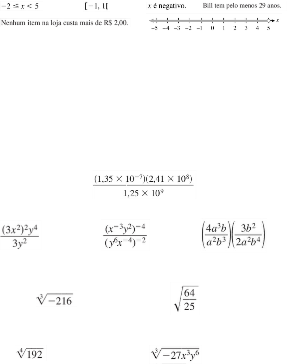
2. Represente na forma de intervalo, graficamente e na forma de desigualdade o intervalo de números 
reais. 
a) b) c) d) 
e) 
f) 
3. Escreva o número em notação científica. 
 a) A distância média de Júpiter até o Sol é de aproximadamente 1780.000.000 quilômetros. 
 b) A carga elétrica, em Coulombs, de um elétron é de aproximadamente - 0,00000000000000000016. 
4. Escreva o número na forma original. 
a) 3,33 x 10-8 
b) 6,73 x 1011 
c) A distância que a luz viaja em um ano (um ano-luz) é aproximadamente 9,5 • 1012 quilômetros. 
d) A massa de um nêutron é aproximadamente 1,6747 x 10-24 gramas. 
5. Use notação científica para simplificar 
 
6. Simplifique utilizando regras de potenciação. 
a) b) c) 
 
7. Calcule as raízes sem usar calculadora (por fatoração). 
a) 
b) 
 
8. Simplifique, removendo fatores do radicando (por fatoração). 
a) b) 
 
9. Racionalize o denominador. 
a) b) 
 
10. Converta para a forma exponencial (forma de potência). 
 
11. Converta para a forma radical. 
a) b) 
 
12. Escreva usando um único radical. 
a) b) 
 
13. Simplifique 
 
14. Simplifique as expressões a seguir, reduzindo os termos semelhantes. 
a) b) 
 
15. Expanda as expressões a seguir e simplifique-as 
a) 
b) 
 
16. Expanda as expressões a seguir 
a) b) c) 
d) e) 
 
 
 
17. Um pequeno parque retangular, cujas dimensões são apresentadas a seguir, tem uma região gramada, 
circundada por um passeio de largura x. Defina uma expressão para a área da região gramada, lembrando-
se de que a área de um retângulo de lados x e y é igual a xy. 
 
 
 
18. Fatore completamente 
a) b) 
c) d) 
e) f)

Mais conteúdos dessa disciplina