Logo Passei Direto
Buscar

Ferramentas de estudo

Questões resolvidas

CO2 é produzido na combustão de heptano com oxigênio. Considere que se deseja produzir 500 kg de gelo seco por hora e que 50% do CO2 produzido podem ser convertidos em gelo seco, como mostrado na figura abaixo.
Quantos quilogramas de heptano devem reagir por hora?

A alimentação fresca para o processo é de 10.000 kg/h de uma solução aquosa que contém 40% (em massa) de biomassa. A alimentação fresca é combinada com o filtrado reciclado do filtro e alimentada para o evaporador, onde água é removida para produzir uma solução de 50% de Bio, que é alimentada para o filtro.
Determine a taxa de escoamento da água removida pelo evaporador e a taxa de reciclo desse processo.

Material
páginas com resultados encontrados.
páginas com resultados encontrados.
left-side-bubbles-backgroundright-side-bubbles-background

Crie sua conta grátis para liberar esse material. 🤩

Já tem uma conta?

Ao continuar, você aceita os Termos de Uso e Política de Privacidade

left-side-bubbles-backgroundright-side-bubbles-background

Crie sua conta grátis para liberar esse material. 🤩

Já tem uma conta?

Ao continuar, você aceita os Termos de Uso e Política de Privacidade

Questões resolvidas

CO2 é produzido na combustão de heptano com oxigênio. Considere que se deseja produzir 500 kg de gelo seco por hora e que 50% do CO2 produzido podem ser convertidos em gelo seco, como mostrado na figura abaixo.
Quantos quilogramas de heptano devem reagir por hora?

A alimentação fresca para o processo é de 10.000 kg/h de uma solução aquosa que contém 40% (em massa) de biomassa. A alimentação fresca é combinada com o filtrado reciclado do filtro e alimentada para o evaporador, onde água é removida para produzir uma solução de 50% de Bio, que é alimentada para o filtro.
Determine a taxa de escoamento da água removida pelo evaporador e a taxa de reciclo desse processo.

Prévia do material em texto

Lista 2 – Operações Unitárias 
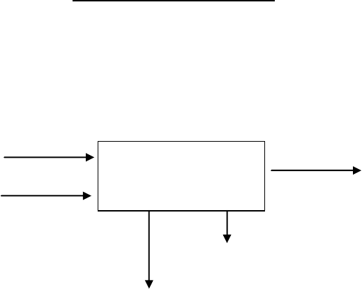
1 - CO2 é produzido na combustão de heptano com oxigênio. Considere que se deseja 
produzir 500 kg de gelo seco por hora e que 50% do CO2 produzido podem ser 
convertidos em gelo seco, como mostrado na figura abaixo. Quantos quilogramas de 
heptano devem reagir por hora? 
 
 
 
 
 
 
 
 
Resposta: 325 kg C7H16/h 
 
2 – Um determinado tipo de calcário possui a seguinte composição mássica: 92,89 % 
CaCO3, 5,41 % MgCO3 e 1,7 % de material não reativo. Por meio de aquecimento, 
pode-se recuperar os óxidos de cálcio e magnésio, que juntos, são conhecidos como 
cal. Diante do exposto, calcule: 
a) A massa de óxido de cálcio que pode ser formada a partir de 1 ton deste calcário. 
b) A massa de calcário necessária para produzir 1 ton de cal. 
c) A massa de CO2 gerada por tonelada de calcário. 
Resposta: (a) 520,18 kg; (b) 1,77 toneladas; (c) 437,06 kg 
 
3 – Combustíveis de veículos automotivos alternativos à gasolina vêm sendo avaliados 
por gerarem menor quantidade de poluentes em confronto com a gasolina. O propano 
comprimido tem sido sugerido como combustível para veículos. Suponha que em um 
teste 20 kg de C3H8 são queimados com 400 kg de ar para produzir 44 kg de CO2 e 12 
kg de CO. Qual foi o percentual de excesso de ar? 
Resposta: 28 % 
 
4 – A alimentação fresca para o processo é de 10.000 kg/h de uma solução aquosa 
que contém 40% (em massa) de biomassa. A alimentação fresca é combinada com o 
filtrado reciclado do filtro e alimentada para o evaporador, onde água é removida para 
produzir uma solução de 50% de Bio, que é alimentada para o filtro. O filtro produz 
uma torta de filtração composta de 95% (em massa) de biomassa seca molhada por 
5% de uma solução, que o laboratório verificou ser composta de 55% (em massa) de 
REATOR 
 
C7H16 gás 
O2 gás 
 500 kg/h 
 
 CO2 sólido (gelo seco) – 50 % 
CO2 gás – 50 % 
Outros produtos 
água com o resto da biomassa seca. O filtrado contém 45% (em massa) de biomassa. 
Determine a taxa de escoamento da água removida pelo evaporador e a taxa de 
reciclo desse processo. 
 
 
F = 10000 kg/h 
R 
 Filtrado com 45 % de Bio 
Evaporador 
Água 
50 % em 
peso de Bio 
Cristalizador e 
Filtro 
Torta de filtração com 
95% de Bio e 5 % 
(45 % em peso de 
suspensão de Bio)

Mais conteúdos dessa disciplina