Logo Passei Direto
Buscar
Material
páginas com resultados encontrados.
páginas com resultados encontrados.
left-side-bubbles-backgroundright-side-bubbles-background

Crie sua conta grátis para liberar esse material. 🤩

Já tem uma conta?

Ao continuar, você aceita os Termos de Uso e Política de Privacidade

left-side-bubbles-backgroundright-side-bubbles-background

Crie sua conta grátis para liberar esse material. 🤩

Já tem uma conta?

Ao continuar, você aceita os Termos de Uso e Política de Privacidade

Prévia do material em texto

Unidade 03 - Exercício Extra 02 Data - 22/01/2014 
DISCIPLINAS: ENG041 e ENG 360 
Professor – Manuel de Almeida Barreto Filho 
Aluno - Assinatura _________________________________ 
 
 
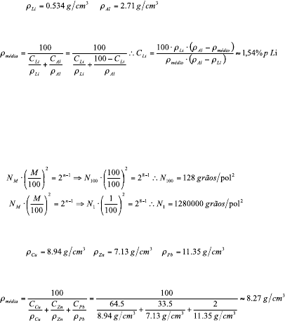
1 – Ligas alumínio-lítio foram desenvolvidas pela indústria aeronáutica para reduzir o 
peso e melhorar o desempenho de suas aeronaves. Deseja-se obter um material para a 
fuselagem de uma aeronave comercial que possua uma massa específica de 2.55 g/cm3. 
Calcule a concentração de Li (em %p) necessária. 
Dados: e 
 
Solução: 
 
 
 
2 – Para um tamanho de grão ASTM igual a 8, quantos grãos devem existir 
aproximadamente em cada polegada quadrada: 
 
a) Para uma ampliação de 100X; 
b) Sem qualquer ampliação. 
 
Solução: 
 
a) 
b) 
 
3 – Determine a massa específica aproximada de um latão com alto teor de chumbo que 
possui a composição de 64.5%p Cu, 33.5%p Zn e 2%p Pb. 
Dados: , e 
 
Solução: 
 
 
 
4 – Para o alumínio, a capacidade calorífica a volume constante, Cv, a 30 K é de 0.81 
[J/(mol.K)] e a temperatura de Debye é de 375 K. Estime o calor específico nas 
seguintes condições: 
 
a) 50 K; 
b) 425 K. 
Dados: e . 
 
Solução: 
 
a) 
 
b) Desde que , 
 
 
5 – Um arame de cobre é esticado com uma tensão de 70 MPa a 20oC. Se o 
comprimento for mantido constante, até que temperatura o arame deverá ser aquecido 
para que a tensão seja reduzida para 35 MPa? 
Dados: Para o Cobre puro - e . 
 
Solução:

Mais conteúdos dessa disciplina