Logo Passei Direto
Buscar
Material

Prévia do material em texto

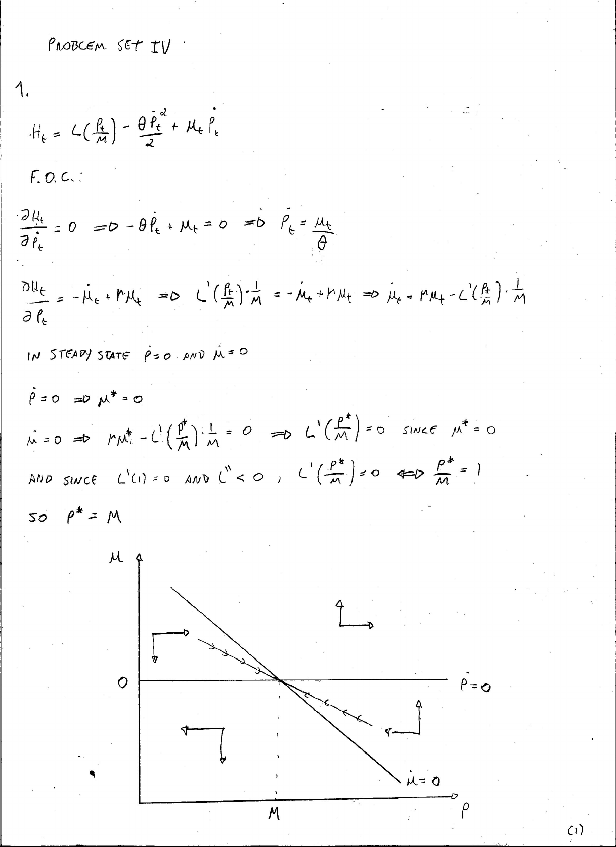
PROBLEM SET IV 1. = - Mt F.O.C.: = 0 =0 - + Mt = 0 = =0 = Mt 0 = - + = = - + =D MMt - 1 M IN STEADY STATE AND = M* = in = =D - ( M ) M = 0 =0 SINCE M* = AND SINCE AND ("UNEXPECTED AND PERMANENT INCREASE IN M. LET M' STAND THE NEW P M M 1 D P=O = to t M4 M=0 to M M' P WHAT CHANGES IF BECOMES VERY SMALL ? LOOKING AT THE EQUATION FOR P. WE SEE THAT THE RATE OF CHANGE (IN ABSOLUTE TERMS) of PRICES BECOMES MUCH For GIVEN DEVIATION of M FROM M P M t u 0 M = 0 P t M (2)2. x = =0 = = = SINCE THIS IMPLY - E = Eₜ + + +1]. = 0 SINCE THIS BE TRUE FOR ALL WE GET THAT IT +1 = (1) = - Et = - K Et ] Et AGAIN, ALL so - K = (2) 50 WE HAVE A SYSTEM WITH 2 VARIABLES AND 2 LET'S SOLVE FROM (2) WE THAT Yx= k PLUGGING THIS ON (1) n K + +1=0 K = = - SINCE K ARE POSITIVE AND 1, NOW, PLUGGING THIS EXPRESSION FOR IN 4x= = WE GET K = CO [n t + SINCE BOTH COEFFICIENTS ARE NEGATIVE SHOCK ON THE INTEREST RATE CAUSES BOTH INFLATION AND THE OUTPUT GAP to INCREASE. (3)K GIVES How MUCH REACTS to REMEMBER THAT K= = ) IF K is EITHER BECAUSE THE COST PRICE (LOW OR BECAUSE THE MARKET CLOSE to PERFECT COMPETITION (HIGH WE ARE CLOSE to THE SITUATION WHERE NOMINAL SHOCKS HAVE NO REAL IMPACT AND AS WE CAN SEE FROM THE EXPRESSIONS, A LARGE K IMPLIES A SMALL Yx AND A BIG THAT 15, THE NOMINAL SHOCK WILL HAVE SMALL IMPACT ON OUTPUT AND A IMPACT ON PRICES THROUGH INFLATION. ON THE OPROSITE THAT 15, SMALL (LARGE PRICE ADJUSTMENT COST OR LARGE DEVIATION FROM PERFECT WE HAVE THAT NOMINAL SWOCKS WILL HAVE IMPACTS ON REAL VARIABLES AS WE CAN SEE BY THE FACT TWAT SMALL K IMPLIES THAT is BIG AND THE NOMINAL SHOCK WILL HAVE LARGE IMPACT ON OUTPUT AND PRICES will ONLY SLOWLY TRHOUGH INFLATION. (4)3. FIRST CASE X = IN THIS CASE Pi - mt DISTRIBUTED ON [o, PN INCREASE BY dm IN DISLOCATES THIS DISTRIBUTION to SINCE No FIRM PUSHED ABOVE OR BELOW THE 5 AND RESPECTEVELY. HENCE, ONE CHANGES ITS PRICE AND P DOGSN'T CHANGE. -dmo -dm 0 Pi - 5-dm IF W.E CONSIDER THAT dm 15 ALWAYS SMALLER THAN No METTER HOW CLOSE X THEN AGAIN, AS ABOVE, THE DISCOCATION THE P.D.F. OF mt TO THE CEFT PUSH ANY FIRM BELOW THE THRESHOLD Pi - = ONE CHANGE PRICE AND AGAIN THE PRICE INDEX DOESN'T CHANGE. X = - IN THIS CASE IS UNIFORMICY DISTRIBUTED ON [-5, 0] AN INCREASE IN mt dm THIS DISTRIBUTION TO - (5)0 mt -dm NOW THERE MASS FIRMS SUCH THAT E [-s-dm, -s] AFTER THE INCREASE IN mt AND THEY WILL CHANGE THEIR PRICES THE NEW ANY FIRM SUCH THAT E BEFORE THE INCREASE IN mt WILL INCREASE PRICE THE NEW mt AFTER IT INCREASES, 50 THE PROPORTION OF FIRMS THAT CHANGE PRICES 15: FC - St dm) = +dm - = dm 0 - 5 SINCE THE FIRMS WILL INCREASE THEIR PRICES By dp = 5 = = dm So THE PRICE INDEX P CHANGE IN THE SAME DIRECTION AND MAGNITUDE AS CHANGE IN MONEY SUPPLY mt, AS IN THE MODEL. IN THE MODEL, THERE WAS A MASS OF FIRMS ARBITRARILY CLOSE to THE THRESNOLD AT WHICH THEY CHANGE THEIR PRICES, WHICH AS WE CAN SEE IN THIS EXERCISE, ESSENTIAL FoR THE RESULT = IF TWERE IS NO FIRM ON THIS THEN THERE will ALWAYS EXIST A dm SMALL ENOUGH SUCH THAT THE CHANGE IN mt DOESN'T INDUCE ANY TO ADJUST PRICES THAT THE PRICE INDEX DOESN'T RESPOND to THE SHOCK. (6)4. - it, = E-1 MULTIPLY BY THE INTEGRATING FACTOR e-pt = P NOTICE THAT = - = E-1 SINCE THIS 15 VALID WE CAN INTEGRATE BOTH SIDES IN TO t FROM to INFINITY = ( Pt ] NOW, = [e-pt = CIM - 0 - = = [ ( Pt Pt )] It FOR AN ARBITRARY WE HAVE = E-1 ( =D Pt - a (7)BUT t He -F) ) 17 ]