Logo Passei Direto
Buscar
Material
páginas com resultados encontrados.
páginas com resultados encontrados.

Prévia do material em texto

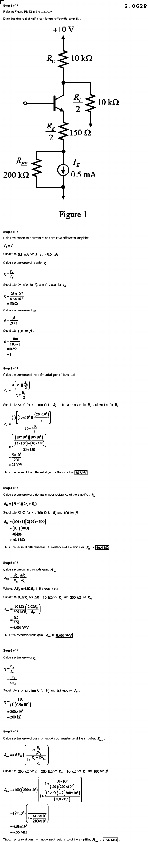
Step 1 of 9.062P Refer Figure P8.63 in the textbook Draw the differential half circuit for the differential amplifier +10 V 10 kΩ R, 10 kΩ 2 150 Ω 2 200 kΩ 0.5 mA Figure 1 Step Calculate the emitter current of half circuit of differential amplifier. Substitute 0.5 mA for 0.5 mA Calculate the value of resistor Substitute 25 mV for V, and 0.5 mA for Calculate the value of a B+1 Substitute 100 for 100 100+1 =0.99 =1 Step Calculate the value of the differential gain of the circuit 2 Substitute for for R, 1 for a for and for R2 2 300 50+ 2 50+150 200 =25 V/V Thus, the value of the differential gain of the circuit 25 V/V Step 4 of Calculate the value of differential input resistance of the amplifier, Substitute for 300 for R, and 100 for 40400 Thus, the value of differential input resistance of the amplifier, Step Calculate the common mode gain, REE Where, ARC in worst case Substitute for 10 for and for 0.02R 0.2 200 =0.001 V/V the common-mode 0.001 V/V Step Calculate value Substitute for a 100 V for and 0.5 mA for 100 Step 7 of Calculate the value of common-mode input resistance of the amplifier, Substitute 200 for 200 for REE 10 for and 100 for 10x10 1+ 1+ 410x10 1+ =6.56 the value of common-mode input resistance of the amplifier, is

Mais conteúdos dessa disciplina