Logo Passei Direto
Buscar
Material
páginas com resultados encontrados.
páginas com resultados encontrados.

Prévia do material em texto

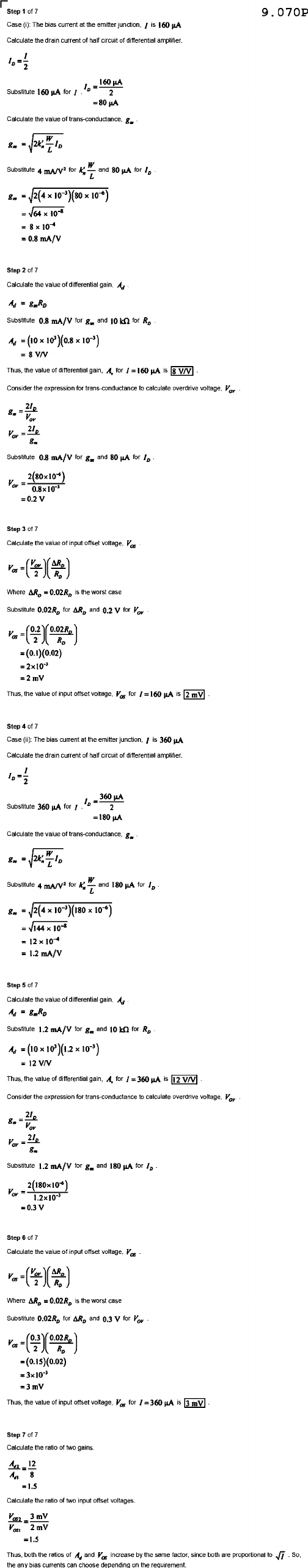
Step 1 of 7 9.070P Case (i): The bias current at the emitter junction, I is 160 Calculate the drain current of half circuit of differential amplifier. 2 Substitute 160 for 160 2 Calculate the value of trans 8m Substitute for W L and 80 for ID 8m 0.8 mA/V Step Calculate the value of differential gain, As Substitute 0.8 mA/V for 8m and for RD 10⁻³) Thus, the value of differential gain, for = 160 is V/V Consider the expression for trans conductance to calculate overdrive voltage, 8m 8m Substitute 0.8 mA/V for 8m and 80 for ID Step 3 of 7 Calculate the value of input offset voltage, Where is the worst case Substitute for and 0.2 V for (0.1)(0.02) mV Thus, the value of input offset voltage, for = 160 Step 4 of 7 Case (ii): The bias current at the emitter junction, is 360 Calculate the drain current of half circuit of differential amplifier. 2 Substitute 360 for 360 2 180 Calculate the value of trans Substitute 4 for W and 180 for L 8m 1.2 mA/V Step Calculate the value of differential gain, 8mRD Substitute 1.2 mA/V for 8m and for RD Ad 10⁻³) 12 V/V Thus, the value of differential gain, for 360 is 12 V/V Consider the expression for trans-conductance to calculate overdrive Substitute 1.2 mA/V for 8m and 180 for =0.3 V Step 6 of 7 Calculate the value of input offset Where is the worst case Substitute for and 0.3 V for =(0.15)(0.02) mV Thus, the value of input offset voltage, for 3 mV Step 7 of 7 Calculate the ratio of two gains =1.5 Calculate the ratio of two input offset voltages. =1.5 Thus, both the ratios of and increase by the same factor, since both are proportional to So, the currents can choose depending the

Mais conteúdos dessa disciplina