Logo Passei Direto
Buscar
Material
páginas com resultados encontrados.
páginas com resultados encontrados.

Prévia do material em texto

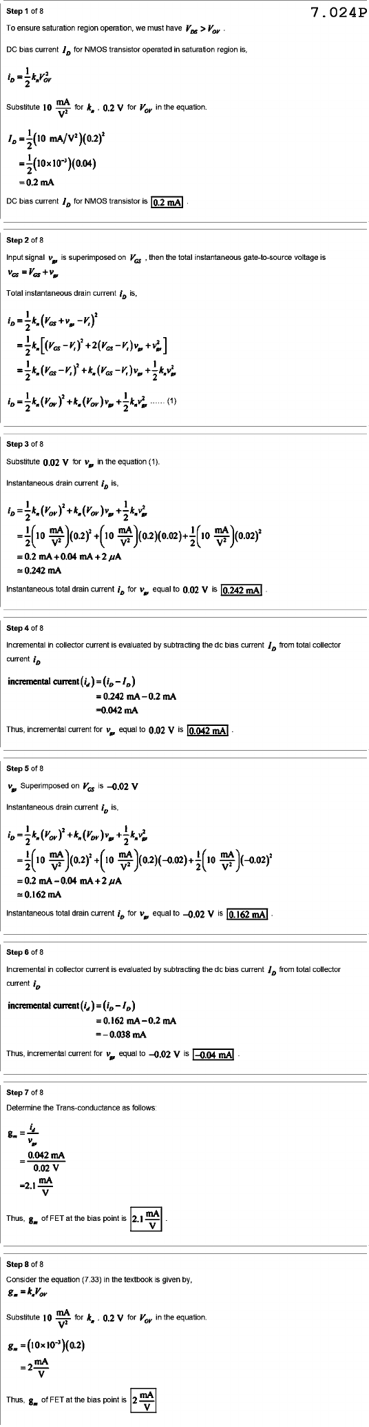
Step of 8 7.024P To ensure saturation region operation, we must have DC bias current for NMOS transistor operated in saturation region is, Substitute 10 mA for k, 0.2 for in the equation. =0.2 mA DC bias current for NMOS transistor is 0.2 mA Step of 8 Input signal is superimposed on then the total instantaneous gate-to-source voltage is Total instantaneous drain current iD is, Step of 8 Substitute 0.02 V for in the equation (1). Instantaneous drain current iD is, = = 0.2 mA+0.04 mA +2 = 0.242 mA Instantaneous total drain current iD for equal to 0.02 V is 0.242 mA Step of 8 Incremental in collector current is evaluated by subtracting the dc bias current from total collector current iD incremental current = 0.242 mA-0.2 mA =0.042 mA Thus, incremental current for equal to 0.02 V is 0.042 = mA Step of 8 Superimposed on is -0.02 V Instantaneous drain current is, = = 0.2 mA-0.04 mA = Instantaneous total drain current for equal to -0.02 V is 0.162 mA Step of 8 Incremental in collector current is evaluated by subtracting the dc bias current from total collector current incremental current = 0.038 mA Thus, incremental current for equal to -0.02 V is -0.04 mA Step of 8 Determine the Trans-conductance as follows: 0.042 mA = 0.02 V mA Thus, 8m of FET at the bias point is 2.1 V Step of 8 Consider the equation (7.33) in the textbook is given by, Substitute 10 mA for 0.2 for in the equation. mA Thus, 8m of FET at the bias point is 2 V

Mais conteúdos dessa disciplina