Logo Passei Direto
Buscar
Material
páginas com resultados encontrados.
páginas com resultados encontrados.
left-side-bubbles-backgroundright-side-bubbles-background

Crie sua conta grátis para liberar esse material. 🤩

Já tem uma conta?

Ao continuar, você aceita os Termos de Uso e Política de Privacidade

Prévia do material em texto

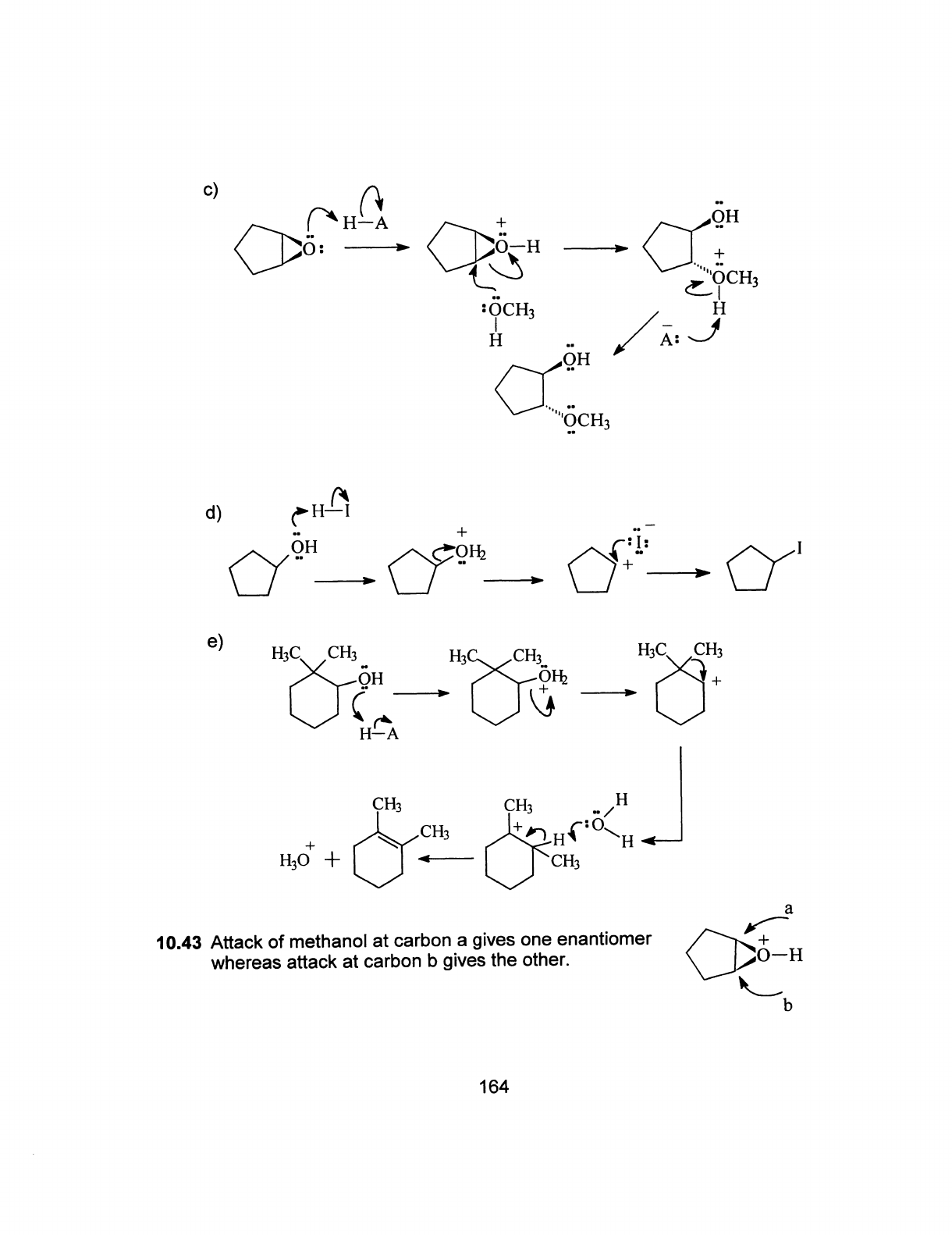
c) H-A + OH O: H + OCH₃ H H A: OH OCH₃ d) + OH : I: OH₂ I + e) CH₃ H₃C CH₃ CH₃ : OH OH₂ + + H-A CH₃ CH₃ H CH₃ + H H H₃O + + CH₃ a 10.43 Attack of methanol at carbon a gives one enantiomer + whereas attack at carbon b gives the other. b 164

Mais conteúdos dessa disciplina