Logo Passei Direto
Buscar
Material
páginas com resultados encontrados.
páginas com resultados encontrados.

Prévia do material em texto

934 CHAPTER 22 
 
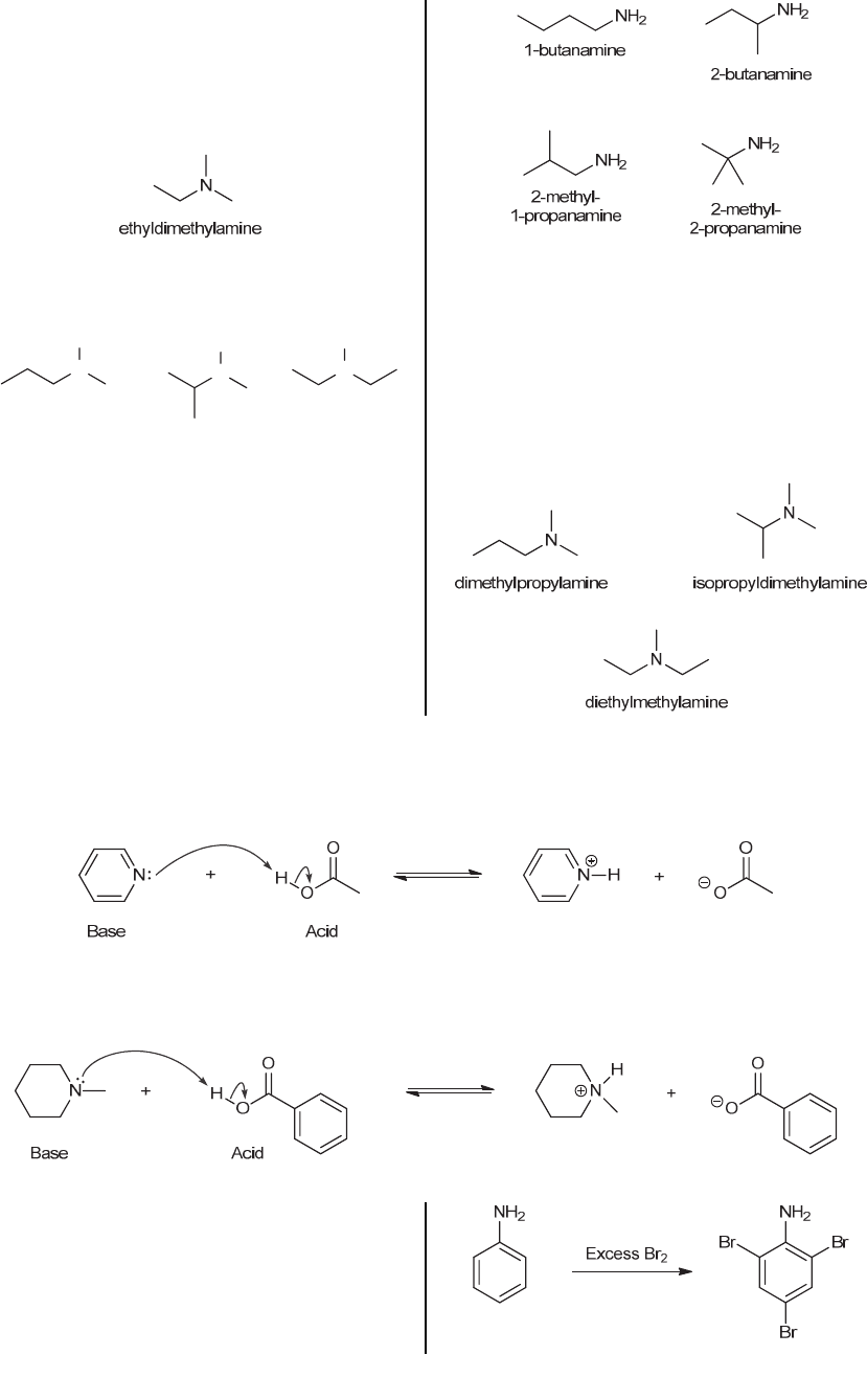
22.41. The molecular formula (C4H11N) indicates no 
degrees of unsaturation (see Section 14.16), so all of the 
isomers must be acyclic amines. We will methodically 
consider all possible primary, secondary, and tertiary 
amines. Let’s begin our analysis with tertiary amines. 
There is only one isomer that is a tertiary amine: 
 
 
 
And there are three isomers that are all secondary 
amines: 
 
N
H
diethylamine
N
H
methylpropylamine
N
H
isopropylmethylamine 
 
And finally, there are four isomers that are all primary 
amines: 
 
 
 
In total, there are eight constitutional isomers with the 
molecular formula C4H11N. 
 
 
22.42. The molecular formula (C5H13N) indicates no 
degrees of unsaturation (see Section 14.16), so all of the 
isomers must be acyclic amines. The following three 
isomers are all tertiary amines (acyclic and fully 
saturated), and none of them have a chiral center: 
 
 
 
22.43. 
(a) The lone pair on pyridine functions as a base and deprotonates acetic acid, giving a pyridinium ion and an acetate 
ion, as shown. Two curved arrows must be drawn. The first curved arrow shows the base attacking the proton, and the 
second curved arrow shows heterolytic cleavage of the O-H bond: 
 
 
 
(b) The tertiary amine functions as a base and deprotonates the carboxylic acid (benzoic acid), giving an ammonium 
ion and a benzoate ion, as shown. Two curved arrows must be drawn. The first curved arrow shows the base attacking 
the proton, and the second curved arrow shows heterolytic cleavage of the O-H bond: 
 
 
 
 
22.44. 
(a) The amino group of aniline is an ortho-para director 
and it strongly activates the ring toward electrophilic 
aromatic substitution. When treated with excess Br2, we 
expect bromination to occur in the two ortho positions 
and the para position, giving 2,4,6-tribromoaniline: 
 
www.MyEbookNiche.eCrater.com

Mais conteúdos dessa disciplina