Logo Passei Direto
Buscar
Material
páginas com resultados encontrados.
páginas com resultados encontrados.

Prévia do material em texto

CHAPTER 12 419 
 
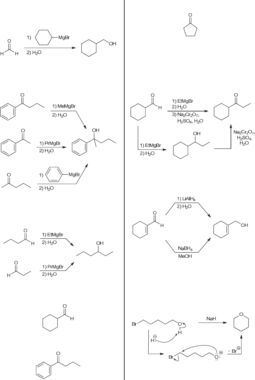
12.35. 
(a) The desired product has only one group connected to 
the  position. That group could have been installed via 
a Grignard reaction with formaldehyde, as shown. 
 
 
 
(b) The desired product has three groups connected to 
the  position. Any one of these groups could have been 
installed via a Grignard reaction with the appropriate 
ketone, as shown. 
 
 
 
(c) The desired product has only two groups connected 
to the  position. Either one of these groups could have 
been installed via a Grignard reaction with the 
appropriate aldehyde, as shown. 
 
 
 
12.36. 
(a) Reduction of the following aldehyde will afford the 
desired product. 
 
 
(b) Reduction of the following ketone will afford the 
desired product. 
 
(c) Reduction of the following ketone will afford the 
desired product. 
 
 
12.37. 
(a) The product has more carbon atoms than the starting 
material, so we must form a carbon-carbon bond. This 
can be achieved with a Grignard reaction (using ethyl 
magnesium bromide to install an ethyl group). The 
resulting alcohol can then be oxidized to give the desired 
product. 
 
 
(b) Reduction of the aldehyde can be achieved with 
either LiAlH4 or NaBH4. This transformation cannot be 
achieved via catalytic hydrogenation, as that process 
would also reduce the carbon-carbon  bond. 
 
 
 
 
12.38. Hydride functions as a base and removes a proton 
from the alcohol, giving an alkoxide ion. This 
intermediate has both a nucleophilic region (the 
negatively charged oxygen atom) and an electrophilic 
region (the position that is  to the bromine atom). As 
such, an intramolecular, SN2-type process can occur, 
giving a cyclic product. 
 
 
 
www.MyEbookNiche.eCrater.com

Mais conteúdos dessa disciplina