Logo Passei Direto
Buscar
Material
páginas com resultados encontrados.
páginas com resultados encontrados.

Prévia do material em texto

CHAPTER 4 109 
 
 
 
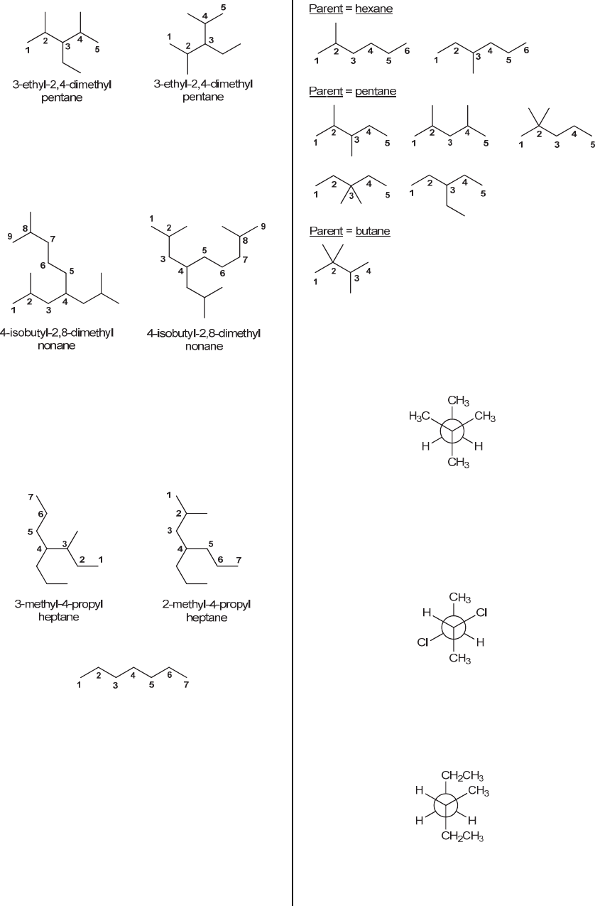
(c) If we assign a systematic name for each of these 
structures, we find that they share the same name (4-
isobutyl-2,8-dimethylnonane). Therefore, these 
drawings are simply different representations of the same 
compound. 
 
 
 
(d) We assign a systematic name to each structure, and 
find that they have different names (shown below). 
Therefore, they must differ in their constitution 
(connectivity of atoms). These compounds are therefore 
different from each other, but they share the same 
molecular formula (C11H24), so they are constitutional 
isomers. 
 
 
4.15. We must draw all of the constitutional isomers of 
heptane: 
 
 
To accomplish the goal, we will follow the same 
methodical approach that we used in Problem 4.3. We 
begin by drawing all possible substituted hexanes with 
the molecular formula C7H16. There are only two 
possibilities - the methyl group can be placed at either 
C2 or C3. Then, we move on to the pentanes, and finally 
any possible butanes. This methodical analysis gives the 
following constitutional isomers: 
 
 
 
4.16. 
(a) When looking from the perspective of the observer 
(as shown in the problem statement), the front carbon is 
connected to three methyl groups and the back carbon is 
connected to one methyl group pointing up. 
 
 
 
(b) When looking from the perspective of the observer 
(as shown in the problem statement), the front carbon is 
connected to a chlorine atom pointing up and to the right, 
as well as a methyl group pointing down. The back 
carbon atom is connected to a chlorine atom pointing 
down and to the left, as well as a methyl group pointing 
up. 
 
 
(c) When looking from the perspective of the observer 
(as shown in the problem statement), the front carbon is 
connected to a methyl group pointing up and to the right, 
as well as an ethyl group pointing down. The back 
carbon atom is connected to an ethyl group pointing up. 
 
 
 
(d) When looking from the perspective of the observer 
(as shown in the problem statement), the front carbon is 
connected to a methyl group pointing up. The back 
www.MyEbookNiche.eCrater.com

Mais conteúdos dessa disciplina