Logo Passei Direto
Buscar
Material
páginas com resultados encontrados.
páginas com resultados encontrados.

Prévia do material em texto

CHAPTER 7 213
 
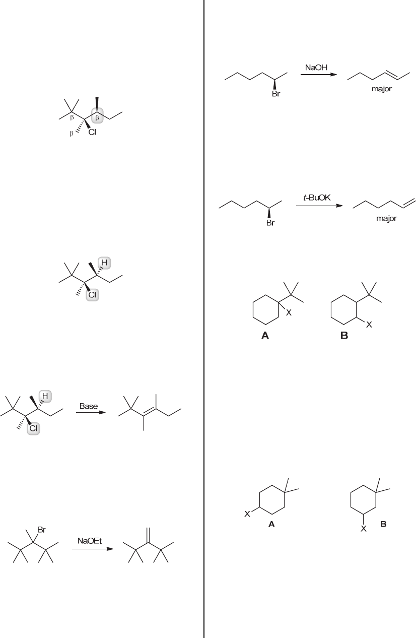
(b) The problem statement indicates that the major 
product is obtained via an E2 process. There are three  
positions, but only two of them bear protons, so there are 
two possible regiochemical outcomes. Since the base is 
not sterically hindered, we expect the Zaitzev product 
(more substituted alkene). Formation of the Zaitzev 
product requires deprotonation at the following, 
highlighted  position: 
 
 
 
This position bears only one proton, so the reaction is 
expected to be stereospecific. That is, only one 
particular stereoisomeric product will be obtained. To 
determine which product to expect, we can rotate the 
central C–C bond so as to place the proton and the 
leaving group in the plane of the page. But in this case, 
that is not necessary, because the proton and the 
leaving group are already anti-periplanar to one another 
(one is on a dash and the other is on a wedge): 
 
 
 
In such a case, it is relatively easy to draw the product, 
because the carbon skeleton is simply redrawn without 
the proton and without the leaving group (with a 
double instead). Note that a double bond has planar 
geometry, so the methyl groups are drawn on straight 
lines in the product: 
 
 
 
7.63. The reagent is a strong nucleophile and a strong 
base, so we expect a bimolecular reaction. The substrate 
is tertiary so only E2 can operate (SN2 is too sterically 
hindered to occur). There is only one possible 
regiochemical outcome for the E2 process, because the 
other  positions lack protons. 
 
 
 
 
7.64. 
(a) The reagent is hydroxide, which is both a strong 
nucleophile and a strong base. The substrate is 
secondary, so we expect the E2 pathway to predominate. 
There are two  positions that bear protons, so there are 
two possible regiochemical outcomes for an E2 process. 
The base is not sterically hindered, so the major product 
will be the more-substituted alkene. Two stereoisomers 
are possible (cis and trans), and the trans isomer is 
favored: 
 
 
 
(b) The reagent is tert-butoxide, which is a strong, 
sterically hindered base. The substrate is secondary so 
we expect E2 processes to predominate (SN2 is highly 
disfavored because of steric interactions). There are two 
 positions that bear protons, so there are two possible 
regiochemical outcomes. The base is sterically hindered, 
so the major product will be the less-substituted alkene: 
 
 
 
7.65. 
(a) Given the location of the  bond, we consider the 
following two possible alkyl halides as potential starting 
materials. 
 
 
Compound A has three  positions, but only two of them 
bear protons, and those two positions are identical. 
Deprotonation at either location will result in the desired 
alkene. In contrast, compound B has two different  
positions that bear protons. Therefore, if compound B 
undergoes an E2 elimination, there will be two possible 
regiochemical outcomes, so more than one alkene will be 
formed. 
 
(b) Given the location of the  bond, we consider the 
following two possible alkyl halides as potential starting 
materials. 
 
 
Compound A has two  positions, and those two 
positions are identical. Deprotonation at either location 
will result in the desired alkene. In contrast, compound 
B has two different  positions that bear protons. 
Therefore, if compound B undergoes an E2 elimination, 
there will be two possible regiochemical outcomes, so 
more than one alkene will be formed. 
 
www.MyEbookNiche.eCrater.com

Mais conteúdos dessa disciplina