Logo Passei Direto
Buscar
Material
páginas com resultados encontrados.
páginas com resultados encontrados.
left-side-bubbles-backgroundright-side-bubbles-background

Crie sua conta grátis para liberar esse material. 🤩

Já tem uma conta?

Ao continuar, você aceita os Termos de Uso e Política de Privacidade

Prévia do material em texto

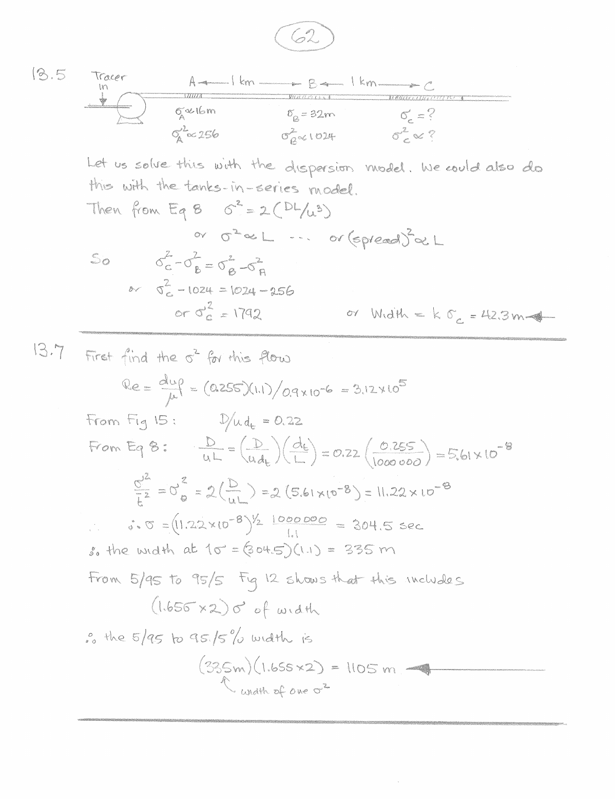
62 Tracer A km B in C = 32m ? Let us solve this with the dispersion model. could also do this with the tanks- in series model. Then from Eq 8 62 = or σ² or L So = or 1024 = 1024 256 or 1792 or Width k 6c = 42.3 m 13.7 First find the for this flow Re = dup = From Fig 15 : D/udt = 0.22 From Eq 4L D = L = 0.22 = = = 2 D ) = 2 = 11.22 = 1000000 1.1 = 304.5 sec the width at 10 = (304.5) (1.1) = 335 m From 5/95 to 95/5 Fig 12 shows that this includes of width :- the 5/95 to width is (335m) (1.655x2) = 1105 m width of one

Mais conteúdos dessa disciplina