Logo Passei Direto
Buscar

Ferramentas de estudo

Material
páginas com resultados encontrados.
páginas com resultados encontrados.

Prévia do material em texto

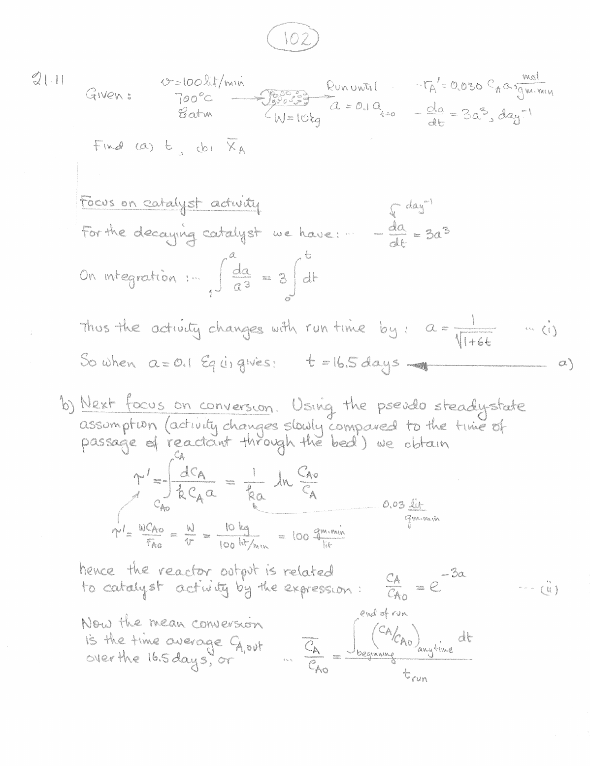
102 21.11 v=100lit/min = Rununtil Given: : = 0.030 CA a a = 0.1 a Eatm W=10kg = 10kg da dt = 3a3, Find (a) t, XA Focus on catalyst activity For the decaying catalyst we have: da = 3a3 dt a t da On integration :- 3 dt 1 Thus the activity changes with run time a (i) 1+6t So when a=0.1 = Eq (i) gives: t = 16.5 days a) b) Next focus on conversion. Using the pseudo steady-state assumption (activity changes slowly compared to the time of passage of reactant CA through the bed) we obtain / dCA k CA a Ra CA CAO 0.03 lit = WCAO FAO W = 10 kg lit = 100 lit 100 lit/min hence the reactor output is related CA -3a to catalyst activity by the expression: e CAO (ii) Now the mean conversion end of is the time average CA,out CA dt over the 16.5 days, or beginning anytime CAO trun

Mais conteúdos dessa disciplina