Logo Passei Direto
Buscar
Material
páginas com resultados encontrados.
páginas com resultados encontrados.
left-side-bubbles-backgroundright-side-bubbles-background

Crie sua conta grátis para liberar esse material. 🤩

Já tem uma conta?

Ao continuar, você aceita os Termos de Uso e Política de Privacidade

Prévia do material em texto

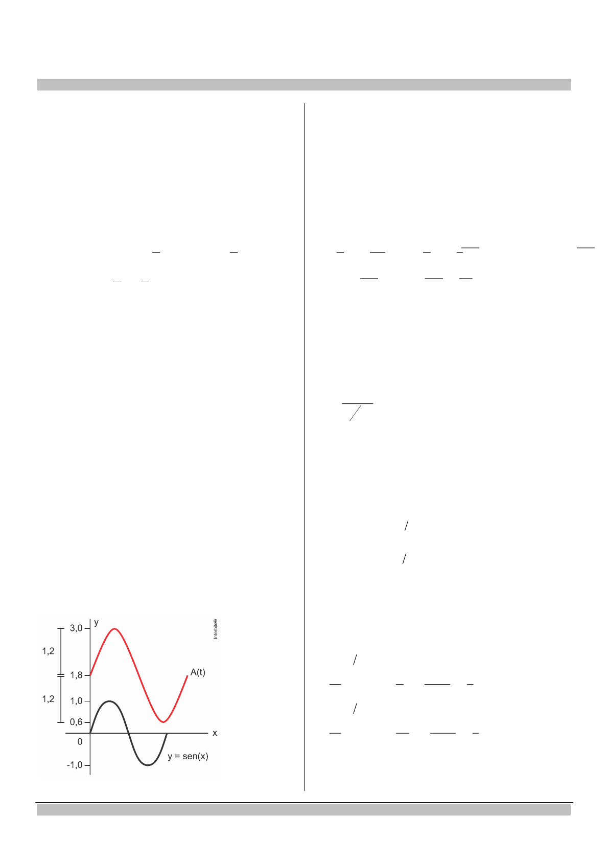
<p>enem2021</p><p>////////////////////////////////////////////////////////////////////////////////////////////////////////////////////////////////////////////////////////////////////////////////////////////</p><p>////////////////////////////////////////////////////////////////////////////////////////////////////////////////////////////////////////////////////////////////////////////////////////////</p><p>I8020 – Help Educacional | Caderno de questões – Página 8</p><p>O diâmetro (d) da circunferência é dado pela</p><p>diferença entre o máximo e mínimo da função,</p><p>logo,</p><p>d 120 80</p><p>d 40</p><p> </p><p></p><p>Resposta da questão 12:</p><p>[A]</p><p>Calculando:</p><p>0,7 1</p><p>h(t) 2,2 1,5 1,4 cos t 1,4 cos t 2,2 1,5 cos t cos t</p><p>6 6 6 1,4 6 2</p><p>1º Quadrante t t 2 horas</p><p>6 3</p><p>π π π π</p><p>π π</p><p>       </p><p>                      </p><p>       </p><p>    </p><p>Resposta da questão 13:</p><p>[A]</p><p>Para obter as alturas máximas e mínimas basta</p><p>analisar o comportamento da função senoide</p><p>A(t) e observar, em seu gráfico, sua amplitude.</p><p>Ou seja, basta analisar os parâmetros 1,8 que</p><p>representa o valor do deslocamento vertical (para</p><p>cima) da função dentro do eixo y e o parâmetro</p><p>1,2 que representa um aumento na amplitude da</p><p>curva, ou seja, da altura da curva senoide.</p><p>Logo, sabendo que uma função y sen(x) possui</p><p>como ponto de partida o valor zero no eixo x e</p><p>eixo y, e, sabendo que a curva A(t) se deslocará</p><p>verticalmente para cima em 1,8 e terá altura</p><p>(amplitude) de 1,2 , temos que o ponto máximo da</p><p>função será: 1,8 1,2 3,0 m. </p><p>E, seu ponto mínimo será: 1,8 1,2 0,6 m. </p><p>Desta maneira, as alturas máximas e mínimas</p><p>serão, respectivamente, 3,0 m e 0,6 m.</p><p>Resposta da questão 14:</p><p>[C]</p><p>[I] FALSA. Calculando:</p><p> </p><p> </p><p>max</p><p>Im 12 2,8 ;12 2,8</p><p>Im 9,2 ;14,8</p><p>2 2</p><p>y 14,8 12 2,8 sen t 2,8 2,8 sen t</p><p>212 212</p><p>2 2 3</p><p>sen t 1 t t 159 dias</p><p>212 212 2</p><p>π π</p><p>π π π</p><p>  </p><p></p><p>   </p><p>        </p><p>   </p><p> </p><p>      </p><p> </p><p>[II] VERDADEIRA. Sim pois  Im 9,2 ;14,8 .</p><p>[III] VERDADEIRA. Sim, conforme já calculado.</p><p>[IV] FALSA. Calculando:</p><p>2</p><p>P P 212</p><p>2</p><p>212</p><p>π</p><p>π</p><p>  </p><p>Resposta da questão 15:</p><p>[E]</p><p>A função seno varia de 1 (máximo) a 1</p><p>(mínimo), logo os valores máximos e mínimos de</p><p>A(t) serão:</p><p> </p><p> </p><p> </p><p>máximo sen[( 18) t 26 ] 1</p><p>A(t) 12,6 4 1 A(t) 16,6 metros</p><p>mínimo sen[( 18) t 26 ] 1</p><p>A(t) 12,6 4 1 A(t) 8,6 metros</p><p>π</p><p>π</p><p>   </p><p>    </p><p>    </p><p>     </p><p>Com essas informações já é possível responder</p><p>à questão.</p><p>Calculando ainda o tempo gasto para uma volta</p><p>completa, pode-se escrever:</p><p> </p><p> </p><p> </p><p> </p><p>sen[( 18) t 26 ] 1</p><p>t 26 1</p><p>t 26 t 26 9 t 35</p><p>18 2 18 2</p><p>sen[( 18) t 26 ] 1</p><p>3 t 26 3</p><p>t 26 t 26 27 t 53</p><p>18 2 18 2</p><p>π</p><p>π π</p><p>π</p><p>π π</p><p>  </p><p>   </p><p>            </p><p>   </p><p>   </p><p>   </p><p>            </p><p>   </p>

Mais conteúdos dessa disciplina