Logo Passei Direto
Buscar

Ferramentas de estudo

Questões resolvidas

Uma serpentina de resfriamento foi usada no sistema para hidratação de óxido de propileno descrito na questão anterior. A serpentina de arrefecimento tem 3,7 m2 de área de troca térmica e o fluxo de água de arrefecimento que circula dentro da serpentina é suficientemente grande para que a temperatura de arrefecimento de 25 °C possa ser mantida. O coeficiente global de troca térmica é 4,6 kJ h-1 m-2 K-1 para a serpentina é.
O reator irá satisfazer a condição de restrição de operar abaixo de 52 °C se for utilizada esta serpentina de arrefecimento?

Material
páginas com resultados encontrados.
páginas com resultados encontrados.
left-side-bubbles-backgroundright-side-bubbles-background

Experimente o Premium!star struck emoji

Acesse conteúdos dessa e de diversas outras disciplinas.

Libere conteúdos
sem pagar

Ajude estudantes e ganhe conteúdos liberados!

left-side-bubbles-backgroundright-side-bubbles-background

Experimente o Premium!star struck emoji

Acesse conteúdos dessa e de diversas outras disciplinas.

Libere conteúdos
sem pagar

Ajude estudantes e ganhe conteúdos liberados!

Questões resolvidas

Uma serpentina de resfriamento foi usada no sistema para hidratação de óxido de propileno descrito na questão anterior. A serpentina de arrefecimento tem 3,7 m2 de área de troca térmica e o fluxo de água de arrefecimento que circula dentro da serpentina é suficientemente grande para que a temperatura de arrefecimento de 25 °C possa ser mantida. O coeficiente global de troca térmica é 4,6 kJ h-1 m-2 K-1 para a serpentina é.
O reator irá satisfazer a condição de restrição de operar abaixo de 52 °C se for utilizada esta serpentina de arrefecimento?

Prévia do material em texto

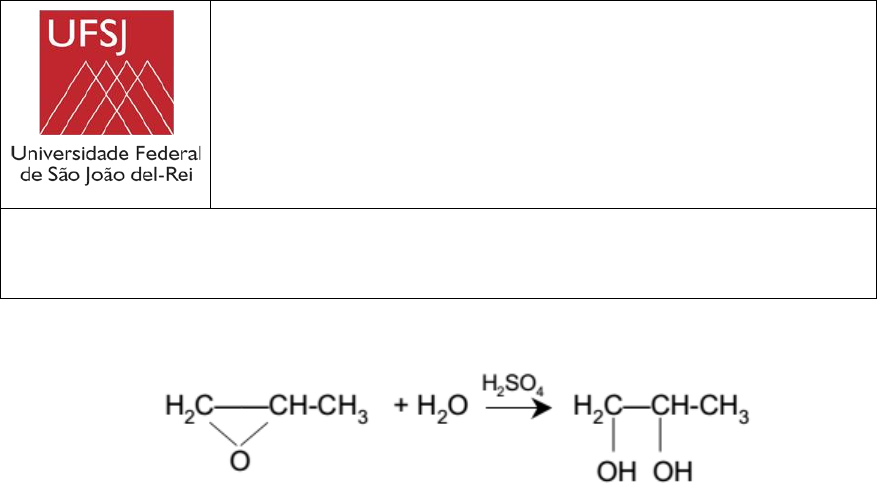
<p>Universidade Federal De São João Del-Rei – UFSJ</p><p>Campus Alto Paraopeba - CAP</p><p>Engenharia de Bioprocessos</p><p>Disciplina: Projeto de Biorreatores</p><p>Profª Flávia Donária / flaviadonaria@ufsj.edu.br / sala 201-bl 2</p><p>3ª Atividade Avaliativa (AV3) – Valor: 10,0 pontos</p><p>Pág. 1 de 2</p><p>1) O Propileno glicol é produzido pela hidrólise de óxido de etileno:</p><p>A reação realiza-se a temperatura ambiente quando catalisada por ácido sulfúrico.</p><p>Você é o engenheiro encarregado de operar um CSTR adiabático produzindo propileno</p><p>glicol por este método. Infelizmente, o reator está começando a vazar e você deve</p><p>substituí-lo. Existe um CSTR revestido com vidro com 1135 L de capacidade disponível</p><p>para uso. Você está alimentando o reator com 20 Kmol/h de óxido de propileno (P.O). A</p><p>corrente de entrada consiste de: (i) uma mistura equivolumétrica de óxido de propileno</p><p>(1,32 m3/h) e metanol (1,32 m3/h), (ii) água contendo 0,1% massa de ác. sulfúrico. O</p><p>fluxo volumétrico de água é 6,6 m3/h, o qual é 2,5 vezes o fluxo de metanol-P.O. Os</p><p>correspondentes fluxos molares de alimentação de metanol e água são 32,6 e 364</p><p>Kmol/h, respectivamente. A mistura de água, óxido de propileno e metanol sofreum</p><p>pequeno decréscimo no volume da mistura (aproximadamente 3%), mas você pode</p><p>negligenciar isto nos cálculos. A temperatura de ambas as correntes de entrada é de</p><p>14,5 °C antes da mistura, porém existe um imediato acréscimo da temperatura da</p><p>mistura em 8,3 °C causado pelo calor de mistura. A temperatura de entrada de todos</p><p>os fluxos é então 24 ºC.</p><p>Furosawa et al. explicaram que em condições abaixo daquelas no qual você está</p><p>operando, a reação é de primeira ordem em relação ao óxido de propileno e zero em</p><p>relação à água, sendo que a velocidade específica de reação é:</p><p>𝑘(𝑇) = 𝐴𝑒</p><p>−𝐸𝑎</p><p>𝑅𝑇⁄ = 16,96. 1012. 𝑒</p><p>−75363</p><p>𝑅𝑇⁄</p><p>As unidades de Energia de ativação e constante de velocidade são J/mol e</p><p>h-1, respectivamente.</p><p>Existe um importante problema em sua operação. O Óxido de Propileno é uma</p><p>substância com baixo ponto de ebulição (ponto de ebulição a 1atm de 34,3 °C). Com</p><p>Universidade Federal De São João Del-Rei – UFSJ</p><p>Campus Alto Paraopeba - CAP</p><p>Engenharia de Bioprocessos</p><p>Disciplina: Projeto de Biorreatores</p><p>Profª Flávia Donária / flaviadonaria@ufsj.edu.br / sala 201-bl 2</p><p>3ª Atividade Avaliativa (AV3) – Valor: 10,0 pontos</p><p>Pág. 2 de 2</p><p>a mistura que você está usando, você sabe que não pode exceder a temperatura de</p><p>operação que é 52 °C ou então você irá perder óxido de propileno demais, por</p><p>evaporação, através de exaustão no sistema. Você poderá usar o CSTR desocupado</p><p>como substituto para aquele com vazamento se este for operado adiabaticamente? Se</p><p>for, qual será a conversão do óxido para o etileno glicol? Para esta conversão encontrada,</p><p>qual seria o volume de um reator pistonado, sob as mesmas condições operacionais?</p><p>Dados adicionais:</p><p>Óxido de propileno: entalpia de formação a 25°C=-122,6 KJ/mol, Capacidade</p><p>calorífica a 25°C=125,1 KJ/mol.K</p><p>Propilenoglicol: entalpia de formação a 25°C=-6,93 KJ/mol, Capacidade</p><p>calorífica a 25°C=189,9 KJ/mol.K</p><p>2) Uma serpentina de resfriamento foi usada no sistema para hidratação de óxido de</p><p>propileno descrito na questão anterior. A serpentina de arrefecimento tem 3,7 m2 de</p><p>área de troca térmica e o fluxo de água de arrefecimento que circula dentro da</p><p>serpentina é suficientemente grande para que a temperatura de arrefecimento de 25 °C</p><p>possa ser mantida. O coeficiente global de troca térmica é 4,6 kJ h-1 m-2 K-1 para a</p><p>serpentina é. O reator irá satisfazer a condição de restrição de operar abaixo de</p><p>52 °C se for utilizada esta serpentina de arrefecimento?</p>